Home
Explore
Exams
Login
Get started
Home
Math
Algebra
Functions
Parent Functions
0.0
(0)
Rate it
Studied by 7 people
Call Kai
Learn
Practice Test
Spaced Repetition
Match
Flashcards
Knowt Play
Card Sorting
1/19
Earn XP
Description and Tags
Algebra
Functions
All Modes
Learn
Practice Test
Matching
Spaced Repetition
Call with Kai
Last updated 8:29 PM on 9/18/22
Update
Name
Mastery
Learn
Test
Matching
Spaced
Call with Kai
No analytics yet
Send a link to your students to track their progress
20 Terms
View all (20)
Star these 20
1
New cards
Graph of Constant
2
New cards
Graph of Linear
3
New cards
Graph of Absolute Value
4
New cards
Graph of Quadratic
5
New cards
Graph of Square Root
6
New cards
Graph of Cubic
7
New cards
Graph of Exponential
8
New cards
Graph of Step Function
9
New cards
Equation for Constant
f(x) = c
10
New cards
Equation for Linear
f(x) = x
11
New cards
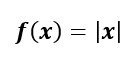
Equation for Absolute Value
12
New cards
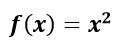
Equation for Quadratic
13
New cards
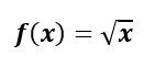
Equation for Square Root
14
New cards
Equation for Cubic
15
New cards
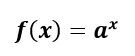
Equation for Exponential
16
New cards
Equation of Step Function
y = [x]
17
New cards
Graph of Rational
18
New cards
Equation of Rational
19
New cards
Graph of Logarithmic
20
New cards
Equation of Logarithmic
f(x) = ln x
Explore top notes
Chapter 10-Gravitation
Updated 117d ago
0.0
(0)
chapter 1: a&p (introduction)
Updated 647d ago
0.0
(0)
AP Chemistry Ultimate Guide (copy)
Updated 689d ago
0.0
(0)
Energy and Heat Basics
Updated 1244d ago
0.0
(0)
REVIEWER FOR INTRO TO PHILO
Updated 879d ago
0.0
(0)
Unit 2: Molecular and Ionic Compound Structure and Properties
Updated 1080d ago
0.0
(0)
APUSH Entrance Ticket Notes - Semester 2
Updated 341d ago
0.0
(0)
Chapter 5: Nuclear Chemistry
Updated 1156d ago
0.0
(0)
Chapter 10-Gravitation
Updated 117d ago
0.0
(0)
chapter 1: a&p (introduction)
Updated 647d ago
0.0
(0)
AP Chemistry Ultimate Guide (copy)
Updated 689d ago
0.0
(0)
Energy and Heat Basics
Updated 1244d ago
0.0
(0)
REVIEWER FOR INTRO TO PHILO
Updated 879d ago
0.0
(0)
Unit 2: Molecular and Ionic Compound Structure and Properties
Updated 1080d ago
0.0
(0)
APUSH Entrance Ticket Notes - Semester 2
Updated 341d ago
0.0
(0)
Chapter 5: Nuclear Chemistry
Updated 1156d ago
0.0
(0)
Explore top flashcards
Synthesis Terms quiz
61
Updated 1102d ago
0.0
(0)
OMAM VOCAB
20
Updated 1166d ago
0.0
(0)
1984 Vocabulary
20
Updated 171d ago
0.0
(0)
ch 5 review
60
Updated 1202d ago
0.0
(0)
Unit 5 APGov Vocab
42
Updated 356d ago
0.0
(0)
My first 500 Korean Words Book 2 - Talk to me in Korean
500
Updated 112d ago
0.0
(0)
[US History, S1] Semester 1 Final Study Guide (1-6) -- v2
380
Updated 413d ago
0.0
(0)
koreano
100
Updated 545d ago
0.0
(0)
Synthesis Terms quiz
61
Updated 1102d ago
0.0
(0)
OMAM VOCAB
20
Updated 1166d ago
0.0
(0)
1984 Vocabulary
20
Updated 171d ago
0.0
(0)
ch 5 review
60
Updated 1202d ago
0.0
(0)
Unit 5 APGov Vocab
42
Updated 356d ago
0.0
(0)
My first 500 Korean Words Book 2 - Talk to me in Korean
500
Updated 112d ago
0.0
(0)
[US History, S1] Semester 1 Final Study Guide (1-6) -- v2
380
Updated 413d ago
0.0
(0)
koreano
100
Updated 545d ago
0.0
(0)