1/28
Looks like no tags are added yet.
Name | Mastery | Learn | Test | Matching | Spaced | Call with Kai |
|---|
No analytics yet
Send a link to your students to track their progress

What does this notation stand for?
Mean
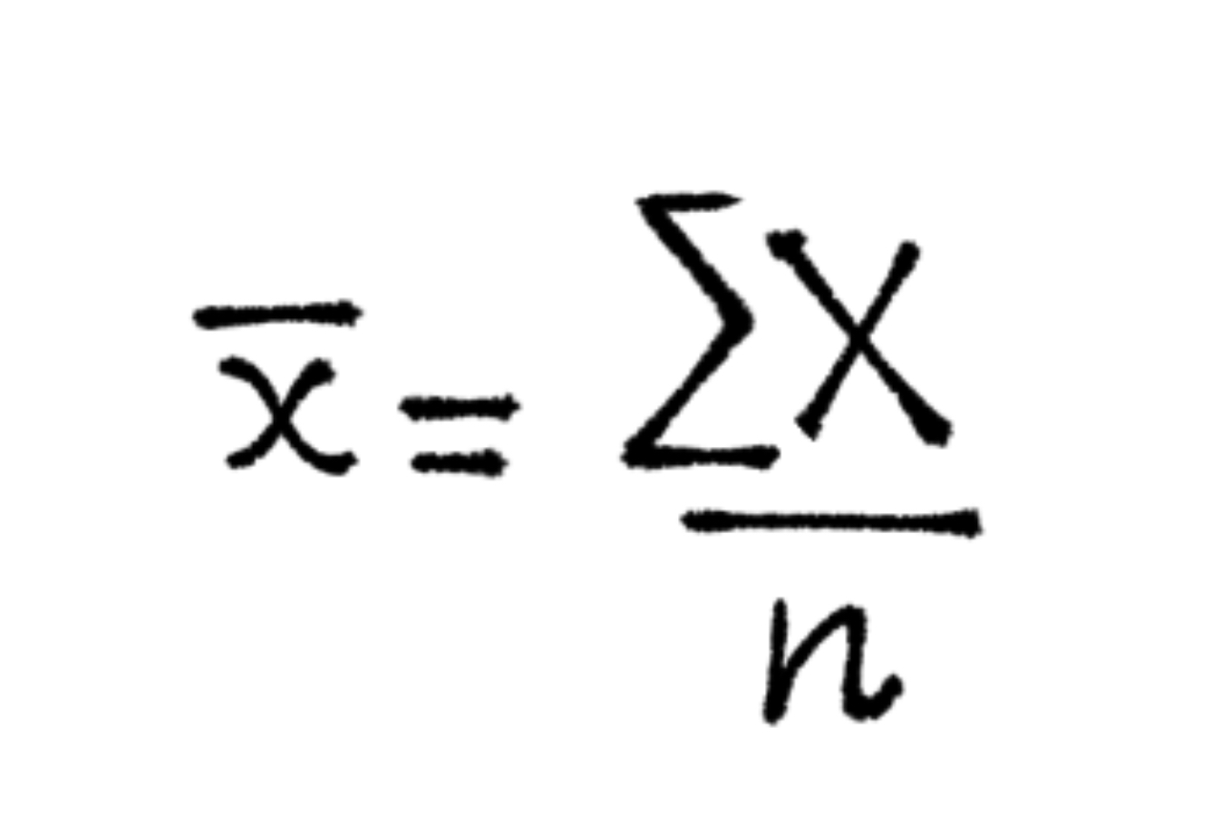
What is the formula of the mean?


What does this notation stand for?
sum of squares
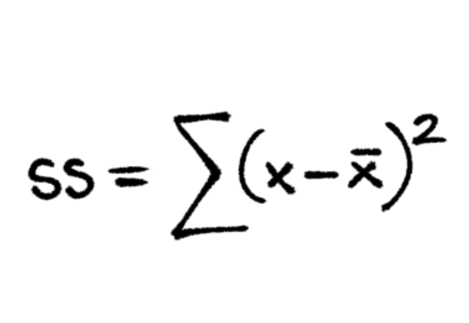
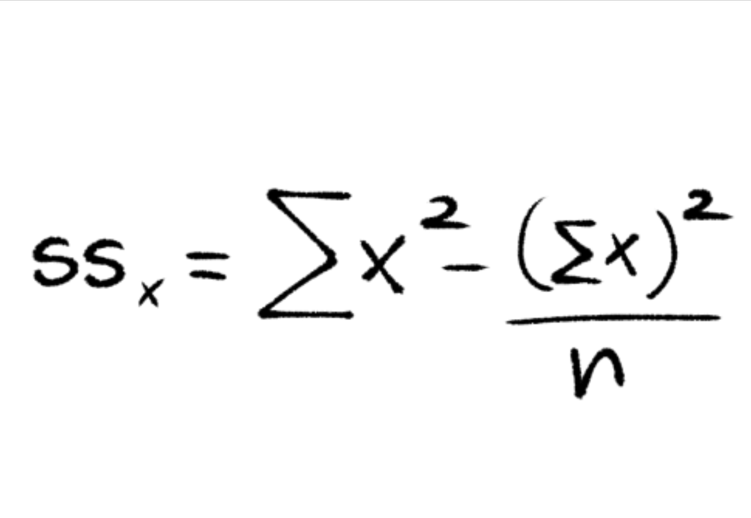
what is the DEFINITIONAL formula for sum of squares?

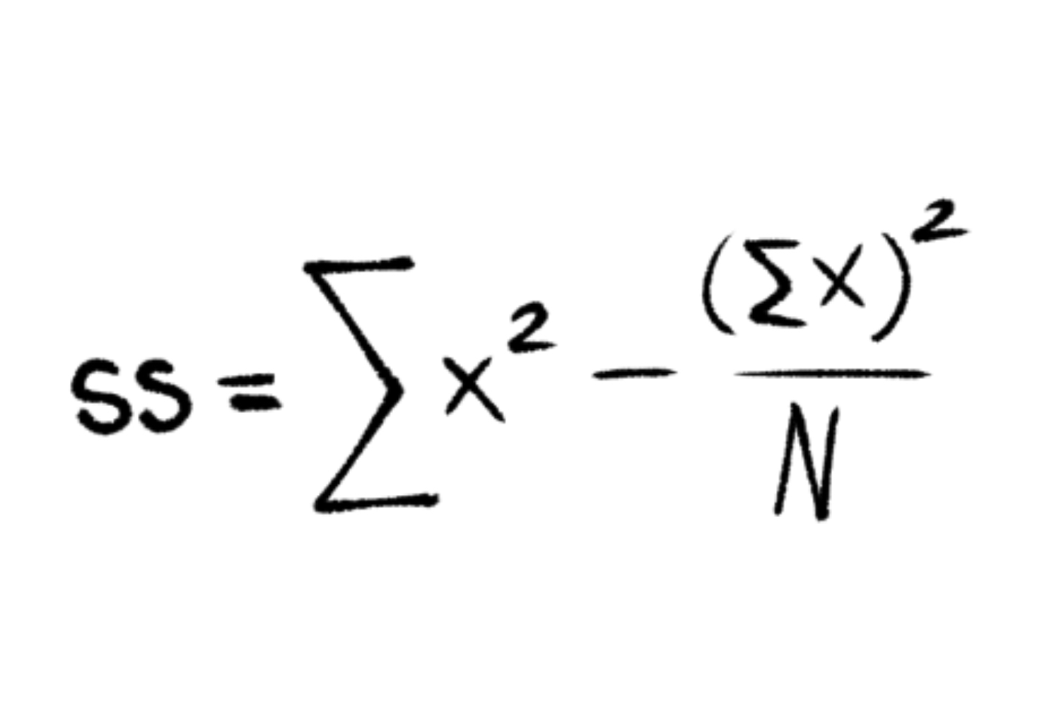
what is the COMPUTATIONAL formula of sum of squares?


What does this notation stand for?
Sample variance
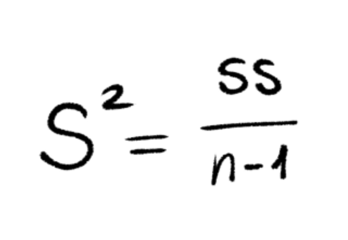
What is the formula of Sample Variance?


What does this notation stand for?
Standard deviation

What does this notation stand for?
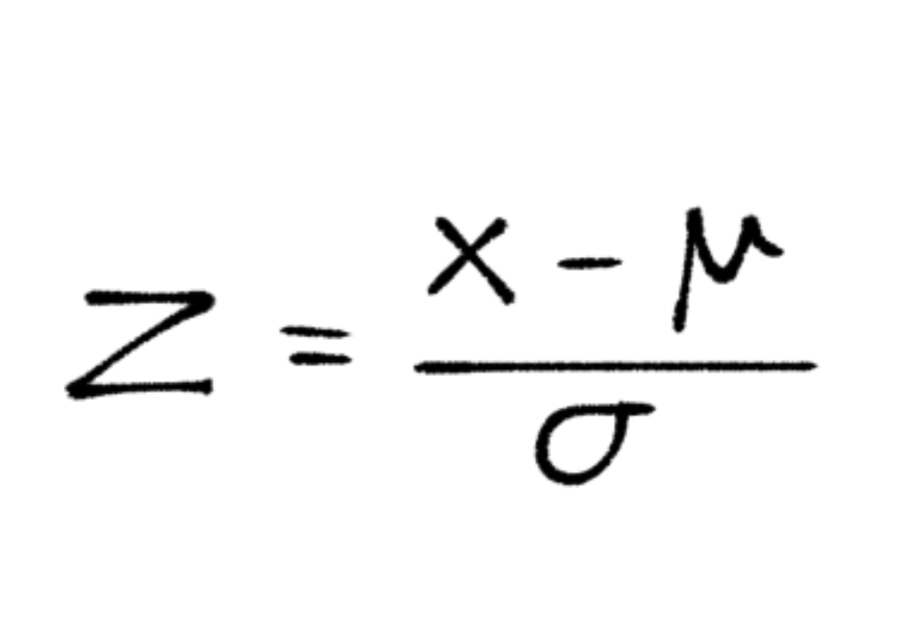
Z-score
What is the Z-score equation?

What is the Z score equation solved for x ?


What does this notation stand for?
Correlation coefficient
What is the COMPUTATIONAL formula for correlation coefficient?


What does this notation stand for?
Sums of squares of x

What does this notation stand for?
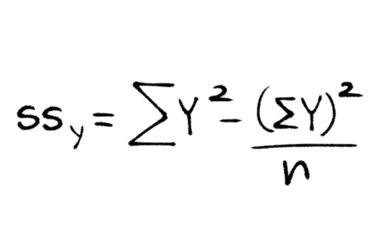
Sum of squares of y
What is the COMPUTATIONAL formula of sum of squares of x?
Identical to sums of squares.

What is the COMPUTATIONAL formula for sum of squares of y?
Identical to sum of squares, just replace X’s with Y.

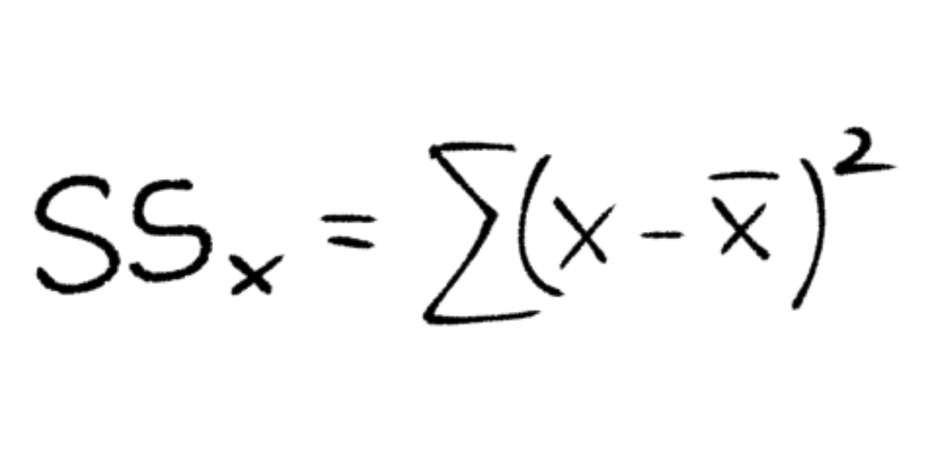
What is the DEFINITIONAL FORMULA for sum of squares of x?

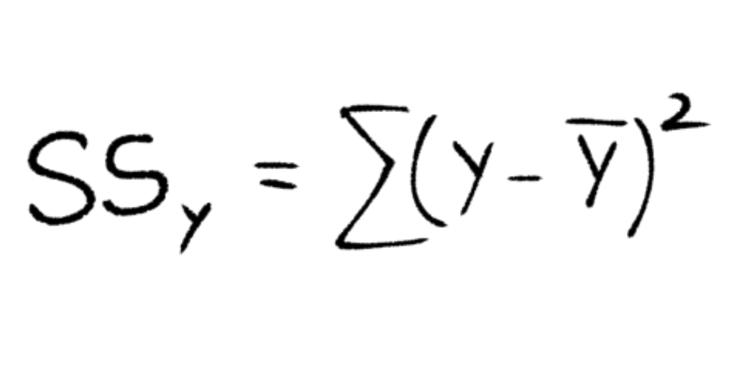
What is the DEFINITIONAL FORMULA for sum of squares of y?


What does this notation stand for?
Sum of products
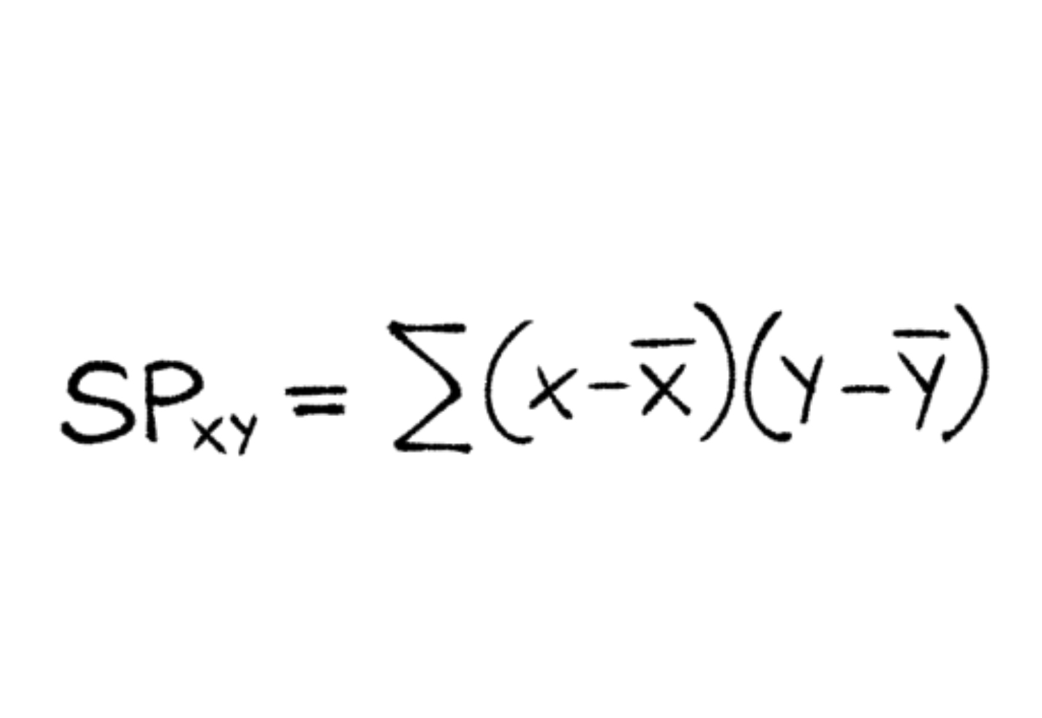
What is the DEFINITIONAL formula for sum of products?

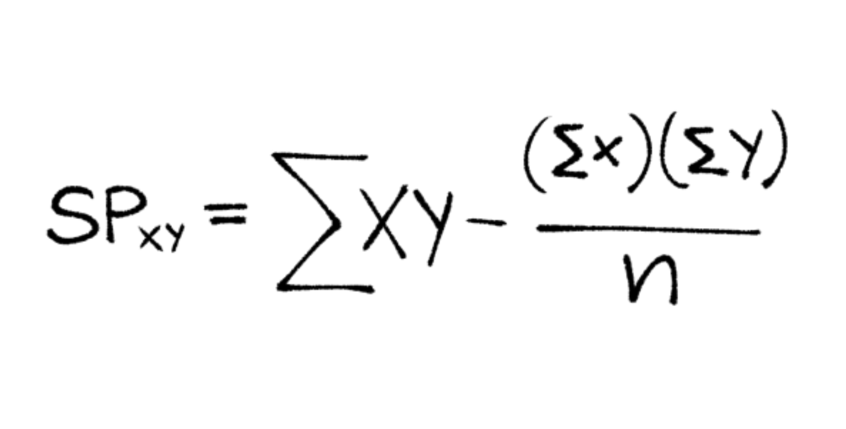
What is the COMPUTATIONAL formula for sum of products?

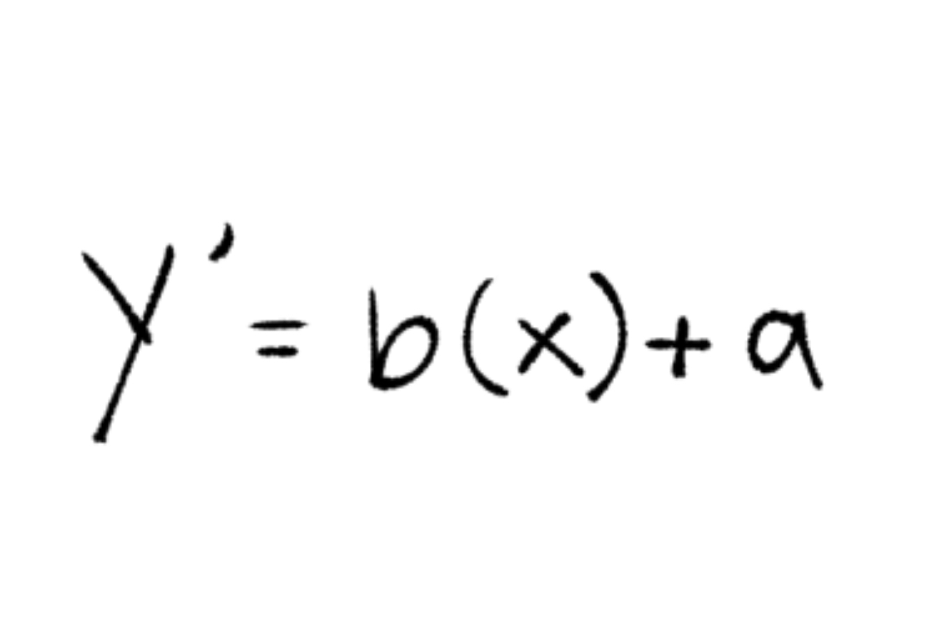
What is the line equation? (For this class)

What does this notation stand for?
Slope

What is the formula for slope? (For this class)


What does this notation stand for?
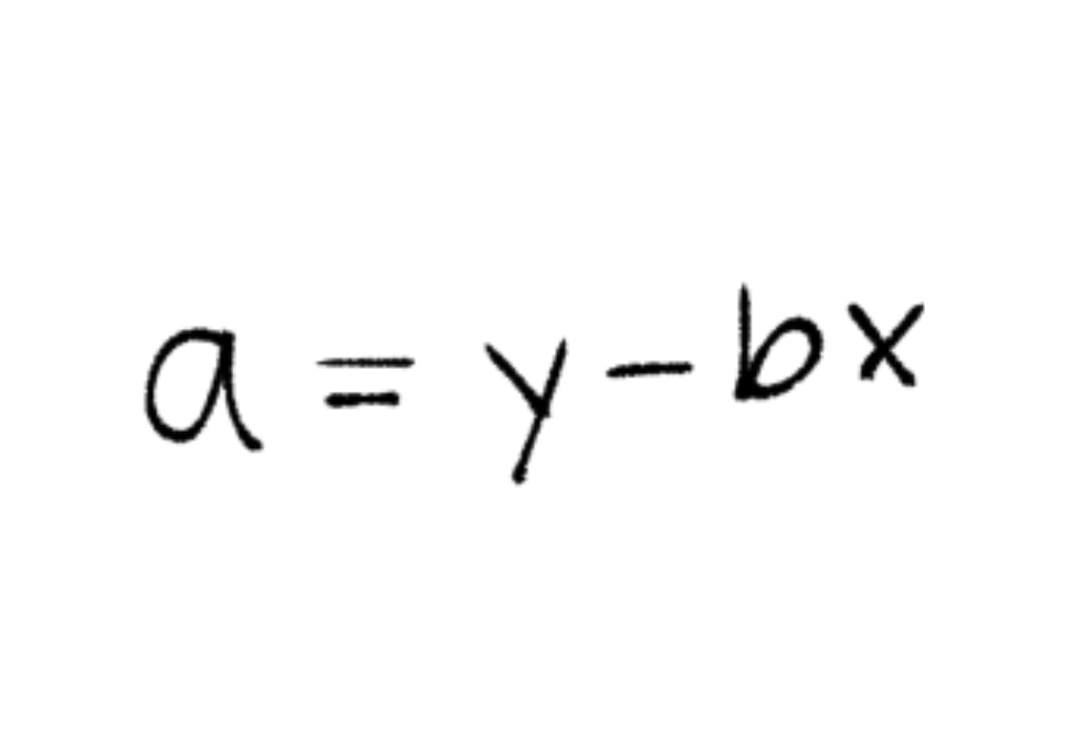
Intercept
What if the formula for intercept? (For this class)


What does this notation stand for?
Standard error of estimate
What is the COMPUTATIONAL formula for standard error of estimate?
