1/29
Looks like no tags are added yet.
Name | Mastery | Learn | Test | Matching | Spaced | Call with Kai |
|---|
No analytics yet
Send a link to your students to track their progress
discount factor

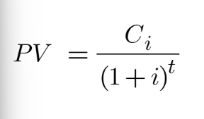
PV

Internal Rate of Return
the actual return with actual prices + actual sell
YTM
i where PV = Price
what determines price
yield
features of a par bond
price = face value
yield = coupon rate
What kind of bond has a coupon rate > yield
premium
price > par
What kind of a bond has yield > coupon rate
discount bond
price < FV
Coupon rate

PV of a perpetuity

Current yield
Estimate yield of a L-T bond if price is near par by estimating like a perpetuity

easiest way to find i

interest rates and prices are ___ related
inversely
Nominal rates vs. Real rates
Nominal: advertised rates
Real: adjusted to reflect value after inflation
how to find real interest rates

What can fed do to try to stimulate spending and borrowing?
lower real interest rate to 0, making it effectively free to borrow
The issue with deflation
deflation causes real interest rates to always be positive (consider the equation for real interest rates)
with deflation, real interest rates can never be 0
Rate of Return
all payments received divided by P0

Why is Rate of Return not the Yield to Maturity
the only time RoR = YTM is if its held to maturity
YTM does not change
RoR will change depending on sale of bond, price at time of sale
interest rate risk
the risk of losing money if i changes
if maturity = holding, then IRR =?
0
Reinvestment risk
risk that your reinvested coupon payments will be at lower i
How to find annual return between 2 spot rates

What is duration
PV-weighted average time to receive cash flows
a measurement for IRR. longer duration → higher IRR
Duration equation

If maturity rises, duration ___
rises
If coupon rate lower, duration __
raises
When yields lower, duration __
raises. This is because it gives more weight to later coupon payments as it is discounted less