1/19
Looks like no tags are added yet.
Name | Mastery | Learn | Test | Matching | Spaced | Call with Kai |
|---|
No analytics yet
Send a link to your students to track their progress
Static pressure
the potential energy or force exerted by a fluid (liquid or gas) at rest, acting equally in all directions against container walls
Stagnation Pressure
what the pressure would be if all the kinetic energy of the fluid were to be converted into pressure in a reversible manner

What is used to control the flowrate through the pipe?
a rotary sleeve damper
Schematic diagram of the pipe flow apparatus

What is used to measure total stagnation pressure
pitot tube
What is used to measure static pressure?
static pressure tap
What is the reading of the incline manometer?
reads the vertical pressure head directly in inches of water, despite being inclined and using a lower density a fluid
What does the piezoelectric pressure transducer do?
provides a voltage output that is proportional to the pressure difference
Equation for Reynolds number

What Reynolds number is considered laminar?
< 2300
What Reynolds number is considered turbulent?
> 4000
What is the velocity profile of a laminar flow?
parabolic
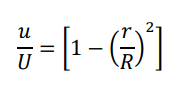
What is the normalized equation for a laminar velocity profile of a circular pipe?

What are some characteristics of a turbulent flow
time dependent, chaotic, three-dimensional, have numerous eddies
What is the normalized equation for a turbulent velocity profile of a circular pipe?

Graph of laminar vs turbulent flow

Bernoulli Equation

Equation for dynamic head pressure
Or more generally: delta P = (Ptotal - Pstatic) = (PPitot - Pstatic)

Equation for local flow velocity

Equation for mass flow rate
Or m_dot = (rho)*(Average velocity)*(Area of the pipe)
