1/7
Looks like no tags are added yet.
Name | Mastery | Learn | Test | Matching | Spaced | Call with Kai |
|---|
No analytics yet
Send a link to your students to track their progress
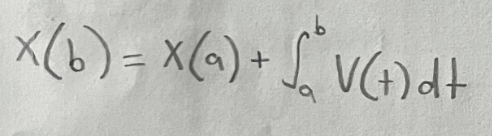
Average Velocity

Displacement

Final Position

Total Distance

Average Rate of Change

Net Change

Accumulation

Average Quantity
