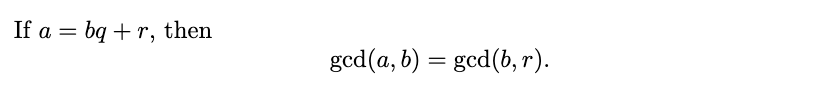
gcd(a,b) = gcd(b, r) proof

0.0(0)
studied byStudied by 0 people
call kaiCall Kai
learnLearn
examPractice Test
spaced repetitionSpaced Repetition
heart puzzleMatch
flashcardsFlashcards
GameKnowt Play
Card Sorting

1/3

encourage image

There's no tags or description

Looks like no tags are added yet.

Last updated 1:19 AM on 12/25/25
Name
Mastery
Learn
Test
Matching
Spaced
Call with Kai

No analytics yet

Send a link to your students to track their progress

4 Terms

1
New cards

Proposition

2
New cards

Proof part 1

3
New cards

Proof part 2

4
New cards

Proof part 3