1/23
Looks like no tags are added yet.
Name | Mastery | Learn | Test | Matching | Spaced | Call with Kai |
|---|
No analytics yet
Send a link to your students to track their progress
glycine
(Gly, G) neutral-nonpolar, hydrophobic

alanine
(Ala, A) neutral-nonpolar, hydrophobic

leucine
(Leu, L) neutral-nonpolar, hydrophobic

isoleucine
(Ile, I) neutral-nonpolar, hydrophobic

valine
(Val, V) neutral-nonpolar, hydrophobic

proline
(Pro, P) neutral-nonpolar, hydrophobic. amino acid: rigid and found between different regions of secondary structure within a protein chain.

tryptophan
(Trp, W) neutral-nonpolar, hydrophobic

phenylalanine
(Phe, F) neutral-nonpolar, hydrophobic

methionine
(Met, M) neutral-nonpolar, hydrophobic

serine
(Ser, S) neutral-polar, hydrophilic

threonine
(Thr, T) neutral-polar, hydrophilic

tyrosine
(Tyr, Y) neutral-polar, hydrophilic

asparagine
(Asn, N) neutral-polar, hydrophilic

glutamine
(Gln, Q) neutral-polar, hydrophilic

cysteine
(Cys, C) neutral-polar, hydrophilic

aspartate
(Asp, D) acidic, negatively charged

glutamate
(Glu, E) acidic, negatively charged

lysine
(Lys, K) basic, positively charged

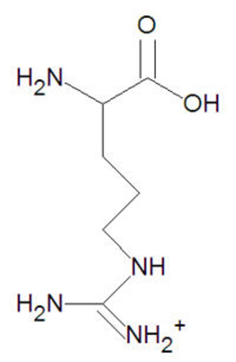
arginine
(Arg, R) basic, positively charged

histidine
(His, H) basic, positively charged

neutral-Nonpolar, hydrophobic
glycine, alanine, leucine, isoleucine, valine, proline, tryptophan, phenylalanine, methionine
neutral-Polar, hydrophilic
serine, threonine, tyrosine, asparagine, glutamine, cysteine
acidic amino acids
aspartate, glutamate
basic amino acids
lysine, arginine, histidine