1/20
Looks like no tags are added yet.
Name | Mastery | Learn | Test | Matching | Spaced | Call with Kai |
|---|
No study sessions yet.
Illicit use of drugs is a major cause of preventable disease
- illegal drugs
- non-medical use of pharmaceutical drugs
- other substances (e.g inhalants)
Impacts of Illicit Drug Use (Health, Social and Economic)
- Health Impacts: burden of disease, injury, overdose
- Social Impacts: violence, crime, trauma
- Economic Impacts: Cost of healthcare, law enforcement, judicial system

Drug-Use Disorder
- repeated or chronic use of mind-altering substances beyond therapeutic or social norms that may lead to drug addiction and overdose
- Addictive drugs can be very damaging
- experimental research has provided understanding of addiction and provided an avenue for understanding brain function

Illicit Drug Use
- Axonal network in brain = 'reward pathway', activated by: food, water, sex, activities and exercise
- this reward pathway is also activated by drugs (and alcohol): heroin, cocaine, marijuana, amphetamines and many others
Reward Pathway
NEUROTRANSMITTERS ACT ON THE REWARD PATHWAY
- Dopamine: function is pleasure, euphoriam mood and motor function
- Serotonin: function is mood, impulsivity, anxiety, sleep, cognition
- Cannabinoids: function is pain, appetite and memory
- Opioids (endorphins): function is pain (analgesic)
.
- in all rewards, dopamine is the final activation chemical

Dopamine: reward, pleasure, euphoria
- dopamine is released following electrical stimulation
- GABA = gamma-aminobutyric acid


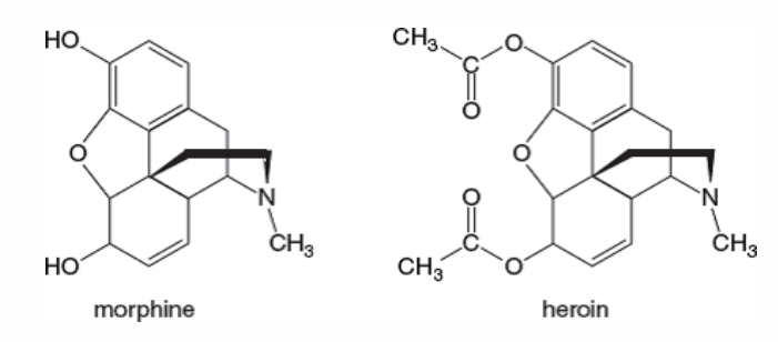
Heroin is an opioid drug
- diacetylmorphine (i.e morphine with two acetyl groups)
- frequent and regular administration can quickly cause tolerance and dependence, and as such, heroin has a very high potential for addiction
- if sustained use of heroin for as little as 3 days is stopped abruptly, withdrawal symptoms can appear

Heroin Biochemistry
- when taken orally, heroin undergoes extensive first-pass metabolism via deacetylation, making it a prodrug for systemic delivery of morphine
- However; when injected, it avoids this first-pass effect, very rapidly crossing the blood-brain barrier (due to acetyl groups, which can render it much more lipid soluble then morphine itself)
- once in brain, it is deacetylated to 6-monoacetylmorphine (6-MAM) and then to morphine (active metabolite)

Heroin: mechanism of action
MORPHINE:
- binds mu-opioid receptors which may results in inhibition of GABA release
- GABA usually decreases dopamine release, so net effect is elevated dopamine
- results in euphoric, analgesic (pain relief), and anxiolytic (anti-anxiety) effects


Cocaine: a tropane alkaloid
- Benzoylmethylecgonine
- obtained from leaves of the coca plant
- stimulant of CNS and appetite suppressant
- until 1970s cocaine was used medicinally
- addictive, nasty side effects


Cocaine: mechanism of action
- MAO = monoamine oxidase


Cocaine: mechanism of action detailed
- note that we are focusing on the reward pathway with dopamine, we aren't really considering norepinephrine pathway

Cocaine: mechanism of action written
- cocaine binds to dopamine re-uptake transporters on pre-synaptic membranes of dopaminergic neurones. This binding inhibits removal of dopamine from synaptic cleft and its subsequent degredation by monoamine oxidase in nerve terminal
- Dopamine remains in synaptic cleft and is free to bind to its receptors on post synaptic membrnae, producing further nerve impulses
- This increased activation of dopaminergic reward pathway leads to feelings of euphoria and the "high" associated with cocaine use
Other Illicit Drugs
- there are many drugs considered illicit in the western world yet in certain cultures they are part of everyday life
- some of these drugs have serious, harmful side effects yet may also prove useful in treating serious illnesses
- it is often a matter of derivatisation and application that can determine the nature of the compound
Marijuana: THC
- THC is lipid soluble and can be detected in body weeks after taking
- while THC is the main psychoactive constituent, marijuana contains much more than THC

Mechanism of action of marijuana
- CB1 = cannabinoid receptors

Amphetamines
- N-methylamphetamine (ice, crystal meth, meth)
- 3,4-methylenedioxy-N-methylamphetamine (MDMA, Ecstasy, E, Molly)
- psychoactive, hallucinogenic, neurotoxic

Amphetamine: mechanism of action
- we'll start off with our familiar dopaminergic neuron here on the right hand side
- mechanism of action here is that the amphetamine is actually binding to our dopamine reuptake transporter and preventing the uptake of dopamine into our pre-synpatic neuron
- what we also see is that it also inhibits our monoamine oxidase, so even where dopamine can get back in, this is actually a competitive inhibitor so dopamine might get back in, but even if it does, the action of the monoamine oxidase is inhibited by the amphetamine and so it cant be degraded by monoamine oxidase anyway and so it could be, then secreted again
- we also see that there is a separate amphetamine binding site for amphetamine itself and that will stimulate the release of dopamine as well
-
- so basically it keeps dopamine in the synpatic cleft using multiple methods

Withdrawal
- following a physiological adaptation e.g drug of abuse, tolerance occurs
- withdrawal = result of an abrupt cessation of drug (disturbance of autonomic nervous system, activation of thalamus, release of corticotrophin releasing factor (CRF) and CRF system mediates symptoms of drug withdrawal)
.
- increased heart rate, blood pressure, blood glucose and increased response to stressors

Use and withdrawal: neurotransmitter involvement
USE:
INCREASE OF:
- Dopamine: euphoria
- Opioids: analgesia, relaxation
- Serotonin: elevated mood
- GABA: decreased anxiety, less panic, relaxation
.
WITHDRAWAL:
DECREASE OF
- Dopamine: dysphoria
- Serotonin: dysphoria
- Opioids: increased pain
INCREASE OF:
- Dynorphin: dysphoria
- CRF: stress
- Norepinephrine: stress
.
- person feels dysphoric, irritable, depressed, angry
.
- we might have fewer receptors being expressed ono our post-synaptic neuron and so now with less dopamine around we experience dysphoria in the absence of the drug


Risks and Side Effects (No learning outcome)
DIAGRAM ON SLIDE 28
