1/21
Looks like no tags are added yet.
Name | Mastery | Learn | Test | Matching | Spaced | Call with Kai |
|---|
No study sessions yet.
Glycosides
What structure is this?

O-glycoside
What type of glycosidic linkage

N-Glycoside
What type of glycosidic linkage

S-Glycoside
What type of Glycosidic linkage

C-glycoside
What type of Glycosidic linkage

Anthraquinone
Anthraquinone form from this structure, what is it?

Anthranol
Anthraquinone form from this structure, what is it?

Anthrone
Anthraquinone form from this structure, what is it?

Cascaroside A
What cascaroside structure is this?

Rhein
What structure of rhubarb is this?

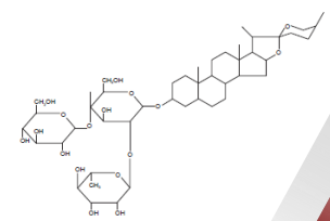
Tetracyclic triterpenoids (Steroidal saponins)
A type of saponin structure

Pentacyclic triterpenoids
A type of saponin structure

Hemolysis test - ruptured RBCs
Foam test - frothing for 60-120s
Chemical tests for Saponin
Glycyrrhiza
Consist of the dried rhizome and roots of Glycryrrhyza glabra (Leguminosae)
Shatavarin I-IV
a type of asparagus structure

Amygdalin
A type of structure of cyanophore

Mandelonitrile glucoside
After hydrolysis of amygdalin yields this

Mandelonitrile
Hydrolysis of Mandelonitrile glucoside yields this

Ginkgolides (ABCJM)
What structure of flavonol is this

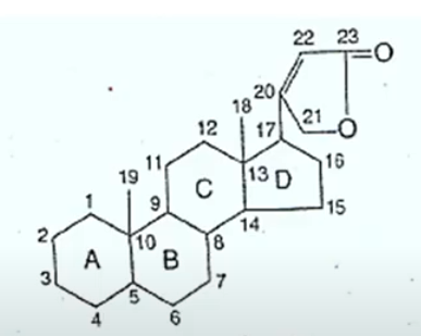
Cardenolide
Cardiac structure

Bufadienolide
Structure of cardiac
