1/13
Looks like no tags are added yet.
Name | Mastery | Learn | Test | Matching | Spaced | Call with Kai |
|---|
No analytics yet
Send a link to your students to track their progress

What does the following symbol depict?
The individual is female

What does the following symbol depict?
The individual is male

What do the following symbols depict?
Miscarriage

What do the following symbols depict?
Deceased individual

What do the following symbols depict?
Unaffected individual

What do the following symbols depict?
Affected individual

What do the following symbols depict?
Presumed heterozygote (the dot notation indicates sex-linked traits)

What does the following symbol depict?
Consanguineous mating (between related individuals such as siblings or cousins)

What do the following symbols depict?
Fraternal (dizygotic) twins

What do the following symbols depict?
Identical (monozygotic) twins

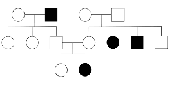
Is the following pedigree dominant or recessive?
Recessive

Is the following pedigree dominant or recessive?
Recessive

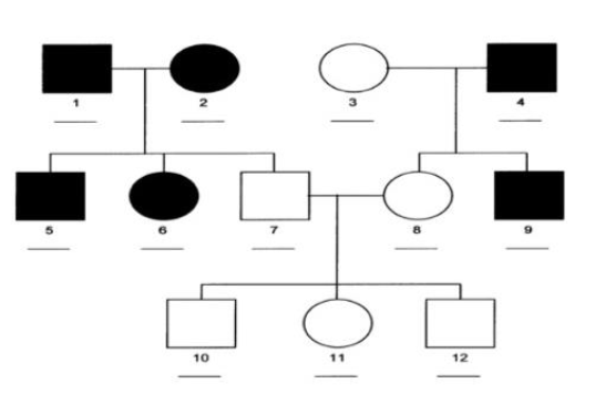
Is the following pedigree dominant or recessive?
Dominant

Is the following pedigree dominant or recessive?
Dominant