1/59
Looks like no tags are added yet.
Name | Mastery | Learn | Test | Matching | Spaced | Call with Kai |
|---|
No analytics yet
Send a link to your students to track their progress
formule de Taylor avec reste intégrale

formule de Taylor young

inégalité de Taylor-young

théorème de limite de la dérivée

théorème d’IPP

théorème de changement de variable

théorème de comparaison intégrale

intégrabilité de la fonction 1/t^a et 1/(1-t)^a

théorème de convergence dominée

théorème d’intégration terme à terme

théorème de continuité sous le signe intégrale

continuité local sous le signe intégrale

théorème de convergence dominée à paramètre continu

théorème de dérivation sous le signe intégrale

théorème de dérivation de classe C^k sous le signe intégrale

étude de suites récurrentes d’ordre 1

sinon chercher les intervalles stable par f et refaire sur ces intervalles
formule de stirling

règle de d’Alembert pour les séries numériques

critère de convergence des séries alternées

comparaison série-intégrale

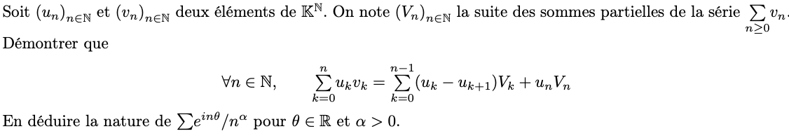
transformée d’Abel

convergence simple d’une suite de fonction

convergence série de fonctions

convergence uniforme définition

convergence uniforme démonstration

convergence normale des séries de fonctions

convergence normale démonstration ou non convergence

théorème de continuité de la limite d’une suite de fonctions

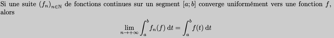
théorème d’interversion limite-intégrale sur un segment

théorème de décidabilité de la limite d’une suite de fonctions

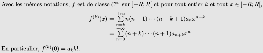
théorème de dérivabilité kème d’une suite de fonctions

théorème de continuité de la somme d’une série de fonctions

subtilité entre CVU/CVN et continuité et dérivavilité
pour la continuité/dérivabilité on peut se contenter de ces propriétés sur tous intervalles pour conclure sur tout l’intervalle. Pour la CVN/CVU ça ne suffit pas.
théorème de la double limite (intervention somme/limite)

attention on ne peut pas se contenter de la limite sur tout segment de I mais pour un point a on peut se contenter d’un segment contenant a.
théorème de dérivation terme à terme

théorème de dérivation terme à terme dérivée kème

produit de cauchy définition

théorème sur le produit de Cauchy

rayon de convergence

lemme d’Abel

théorème sur le rayon de convergence

corollaire du théorème sur le rayon de convergence

comparaison de RDC de deux séries entières

règle de d’Alembert pour les séries entières

opération sur les RDC

subtilité sur la continuité/CVN des séries entières



intégration et dérivation des séries entières (AVEC LES BONS INDICES)




corollaire de la formule de Taylor avec reste intégrale

DSE de exp(x)

DSE de ch(x)
sur R

DSE de sh(x)

DSE de cos(x)

DSE sin(x)
sur R

DSE de -ln(1-x)
DSE de ln(1+x)

sur ]-1,1[
DSE de argth(x)
![sur ]-1,1[](https://assets.knowt.com/user-attachments/164bf4e7-2046-439c-a0cb-3ef04dce1455.png)
DSE de arctan(x)

sur ]-1,1[
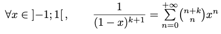
DSE de (1+x)^a
