1/15
Looks like no tags are added yet.
Name | Mastery | Learn | Test | Matching | Spaced | Call with Kai |
|---|
No analytics yet
Send a link to your students to track their progress

What is the name of this structure?
Deoxyadenylate

Deoxyadenylate is the nucleotide name what is its nucleoside name, two-letter and four-letter codes?
Nucleoside: Deoxyadenosine
Two-letter: dA
Four-letter: dAMP

What is the name of this structure?
Deoxyguanylate

Deoxyguanylate is the nucleotide name what is its nucleoside name, two-letter and four-letter codes?
Nucleoside: Deoxyguanosine
Two letter: dG
Four letter: dGMP

What is the name of this structure?
Deoxythymidylate

Deoxythymidylate is the nucleotide name what is its nucleoside name, two-letter and four-letter codes?
Nucleoside: Deoxythymidine
Two letter: dT
Four letter: dTMP

What is the name of this structure?
Deoxycytidylate

Deoxycytidylate is the nucleotide name what is its nucleoside name, two-letter and four-letter codes?
Nucleoside: Deoxycytidine
Two letter: dC
Four letter: dCMP

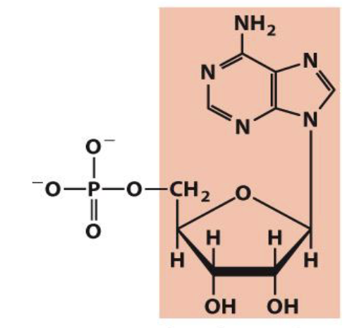
What is the name of this structure?
Adenylate

Adenylate is the nucleotide name what is its nucleoside name, two-letter and four-letter codes?
Nucleoside: Adenosine
Two letter: A
Four letter: AMP

What is the name of this structure?
Guanylate

Guanylate is the nucleotide name what is its nucleoside name, two-letter and four-letter codes?
nucleoside: guanosine
two letter: G
four letter: GMP

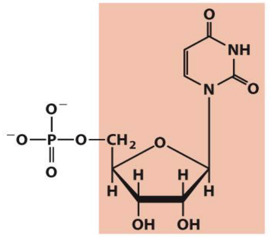
What is the name of this structure?
Uridylate

Uridylate is the nucleotide name what is its nucleoside name, two-letter and four-letter codes?
nucleoside: uridine
two letter: U
four letter: UMP

What is the name of this structure?
Cytidylate

Cytidylate is the nucleotide name what is its nucleoside name, two-letter and four-letter codes?
Nucleoside: Cytidine
two letter: C
four letter: CMP