1/11
Looks like no tags are added yet.
Name | Mastery | Learn | Test | Matching | Spaced | Call with Kai |
|---|
No analytics yet
Send a link to your students to track their progress

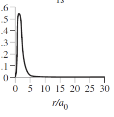
1s radial function

2s radial function

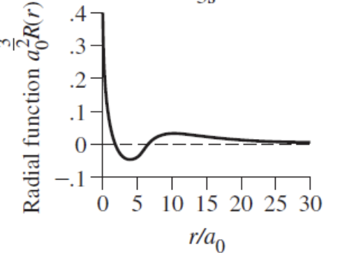
3s radial function

2p radial function

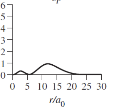
3p radial function

3d radial function

1s probability

2s probability

3s probability

2p probability

3p probability

3d probability