1/28
Looks like no tags are added yet.
Name | Mastery | Learn | Test | Matching | Spaced | Call with Kai |
|---|
No study sessions yet.
Computer Graphics
The technology associated with the use of computer technology to convert created or collected data into visual representations /
Using a computer to convert a model into an image
Explicit geometry
Geometry Modeling:
Triangle meshes, Patches, Subdivision surfaces,…
Implicit geometry
Geometry Modeling:
Surface defined by x2 + y2 + z2 = 10
Fractal sets, procedural definition, …
Volume data
Geometry Modeling:
Samples from MRI, ultra-sound, simulation…
Frame Buffer
A block of memory, dedicated that contains the pixel array to be passed to the optical display system
Pixel
One element of frame buffer
- uniquely accessible point in image
Resolution
Width x Height (in pixels)
- 640x480, 1280x1024, 1920x1080
Color depth
Number of bits per-pixel in the buffer
- 8, 16, 24, 32-bits for RGBA
Buffer size
Total memory allocated for buffer
Alpha
Frame Buffer Opacity:
Used for compositing or merging images
Alpha channel
Frame Buffer Opacity:
Added to color, Holds the alpha value for every pixel
8 bit range: 0 (transparent) – 255 (opaque)
Buffer size
____ ____ = width x height x color depth
921600 bytes
If width = 640, height = 480, color depth = 24 bits
Buffer size = ?
(No commas, include measurement)
6220800 bytes
If width = 1920, height = 1080, color depth = 24 bits
Buffer size = ?
(No commas, include measurement)
Physical device
That can be described by their real-world physical properties
(mouse, keyboard, joystick…)
Logical Device
Application abstraction
Transformations
Create object in convenient coordinates, Reuse basic shape multiple times, Hierarchical modeling, System independent, Virtual cameras
2D Rotations
Type of Transformation:

3D Rotations
Type of Transformation:

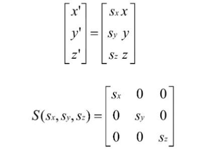
Scaling
Type of Transformation:


Translation
Type of Transformation:

Homogeneous Coordinates
Image:

Deformations
Transformations that do not preserve shape
EX: Non-uniform scaling, Shearing, Tapering, Twisting, Bending
Shearing
Type of Deformation:

Tapering
Type of Deformation:

Twisting
Type of Deformation:

Bending
Type of Deformation:

Object Coordinates
Convenient place to model the object

World Coordinates
Common coordinates for the scene
