1/5
+ Hyperbolas, Parabolas, Exponentials
Name | Mastery | Learn | Test | Matching | Spaced |
|---|
No study sessions yet.
Gradient (m)
rise/run
rise is on the y-axis
run is on the x-axis
Equation of a straight line
y = mx + c
where m is gradient
c is the y-intercept
x is the independant variable
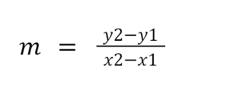
Gradient of a line between two points

How to know if a point does not lie on the line [y=mx+c]
sub in each x and y value (x,y) until the y value ≠ mx+c
Parabola
y = x²
less than 1 will be a wide parabola, more than 1 will be a thinner parabola
+1 will move it up, -1 will move it down.
Hyperbola