1/18
Looks like no tags are added yet.
Name | Mastery | Learn | Test | Matching | Spaced | Call with Kai |
|---|
No analytics yet
Send a link to your students to track their progress
X ~ U(a, b) spreek je uit als ...
X is een stochast met een uniforme verdeling over het interval [a, b]
X ~ U(a, b) schrijf je in excel als ...
=a + RAND()*(b-a)
X ~ T(a, m, b) spreek je uit als ...
X is een stochast met driehoekige verdeling over het interval [a, b] met modus m. (m = de waarde van X waar kansdichtheid maximaal is)
X ~ T(a, m, b) schrijf je in excel als ...
=IF(RAND()<(m-a)/(b-a); m - ABS(RAND()-RAND())(m-a); m + ABS(RAND()-RAND())(b-m))
X ~ N(μ, σ2) spreek je uit als ...
X is een stochast met een normale verdeling met de gemiddelde waarde mu en de variantie sigma kwadraat. (standaardafwijking is σ, die de spreiding rond μ meet)
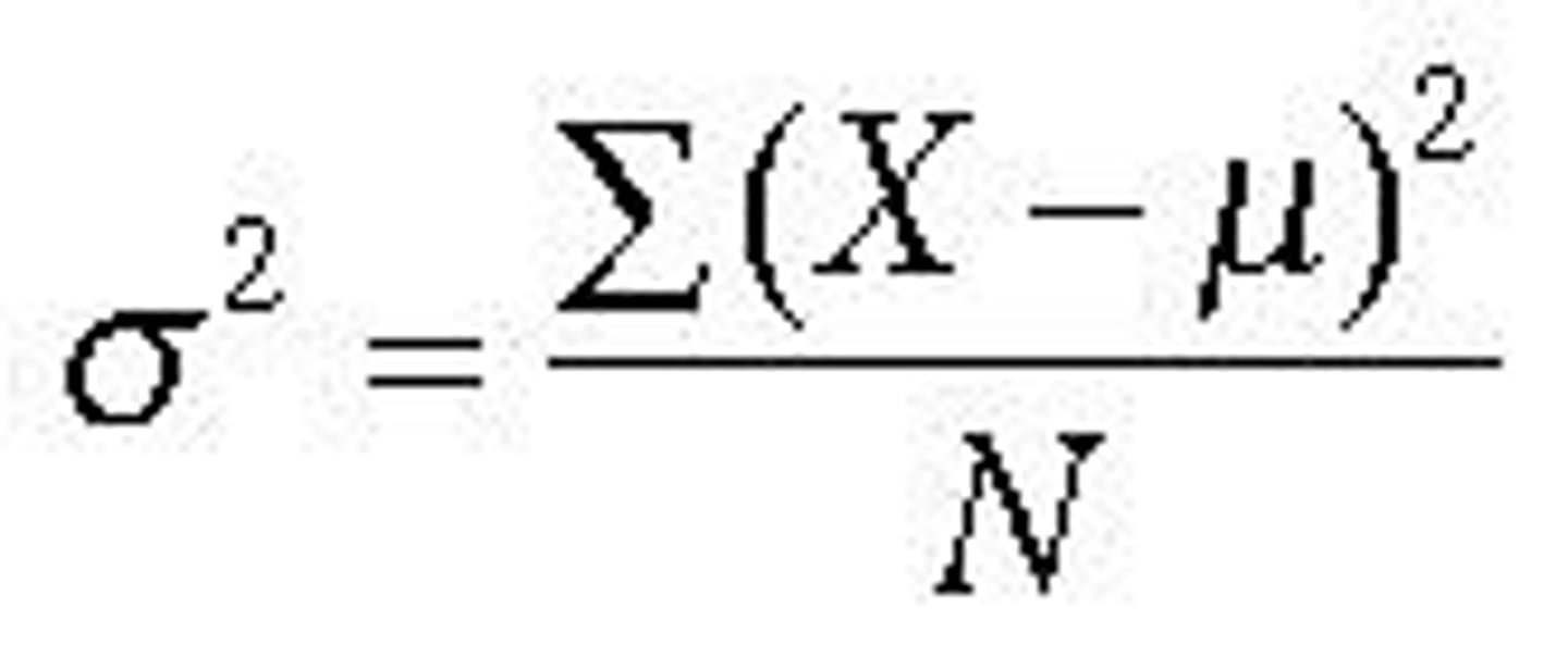
Wat is de formule voor de variantie?
toevoeging foto: onder sigma i=1, boven N.

X ~ Exp(λ) spreek je uit als ...
X is een stochast met een negatief exponentiële verdeling met parameter labda. (λ = het gemiddelde aantal gebeurtenissen per tijdseenheid)
X ~ Exp(λ) gebruik je voor ...
modelleren tussenaankomsttijd tussen twee opeenvolgende gebeurtenissen van een random aankomstproces. (er komt gemiddeld elke 6 minuten een trein.)
X ~ Exp(λ) schrijf je in excel als ...
=-LN(RAND())/λ
X ~ Poisson(λ) spreek je uit als ...
X is een stochast met Poissonverdeling met gemiddelde frequentie labda
X ~ Poisson(λ) gebruik je voor ...
aantal fenomenen per tijdseenheid waarbij de kans op het fenomeen constant is. (bv: # keer dat je op je tellie gaat op een dag, # bezoekers supermarkt in een week, # voertuigen dat een bepaald punt passeert in een uur)
X ~ Poisson(λ) schrijf je in excel als ...
=BINOM.INV(1000, λ/1000, RAND())
X ~ Bin(n, p) spreek je uit als ...
X is een stochast die binomiaal verdeeld is. X modelleert het aantal successen in een reeks van n onafhankelijke experimenten en elk experiment heeft kans p op slagen.
X ~ Bin(n, p) gebruik je wanneer ...
- experimenten altijd precies 2 uitkomsten uitkomsten (1=succes, 0=mislukking).
- de kans voor elk experiment p is.
vb: aantal keer dat je 6 gooit met dobbel
X ~ Bin(n, p) schrijf je in excel als ...
=BINOM.INV(n, p, RAND())
driehoeken met variaties :
- symmetrisch tussen -1 en 1; T(-1, 1)
- symmetrisch tussen a en b; T(a, b)
- eenzijdig aflopen; T(a, a, b)
T(-1, 1) schrijf je in excel als ...
=RAND()-RAND()
T(a, b) schrijf je in excel als ...
=(a+b)/2 + (b-a)*(RAND()-RAND())/2
T(a, a, b) schrijf je in excel als ...
=a + ABS(RAND()-RAND())*(b-a))