1/19
Looks like no tags are added yet.
Name | Mastery | Learn | Test | Matching | Spaced | Call with Kai |
|---|
No analytics yet
Send a link to your students to track their progress
Alanine protonated (low pH)

Alanine at pH7

Alanine deprotonated

Cysteine protonated

cysteine pH7

Cysteine deprotonated

Glycine protonated (low pH)

Glycine ph7

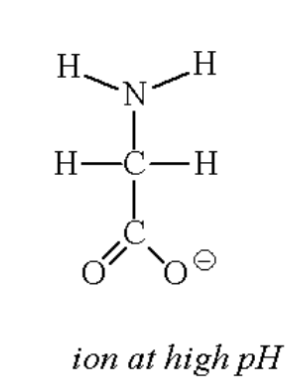
Glycine deprotonated

proline protonated

proline zwitterion

proline deprotonated

serine protonated

serine zwitterion

Serine deprotonated

ala-ala dipeptide

cys-cys dipeptide

gly-gly dipeptide

pro-pro dipeptide

ser-ser dipeptide
