1/16
Looks like no tags are added yet.
Name | Mastery | Learn | Test | Matching | Spaced | Call with Kai |
|---|
No analytics yet
Send a link to your students to track their progress

Xác định kiểu di truyền trong cây phả hệ sau:
Di truyền liên kết NST Y
Cá thể nam ở các thế hệ đều bị bệnh

Xác định kiểu di truyền trong cây phả hệ sau:
Di truyền ty thể
Mũi tên xanh: mẹ
Mũi tên đỏ: bố


Xác định kiểu di truyền trong cây phả hệ sau:
Di truyền ty thể
Mẹ bị bệnh sinh con bị bệnh
Bố bị bệnh nhưng con không bị bệnh
Mũi tên xanh: mẹ
Mũi tên đỏ: bố


Xác định kiểu di truyền trong cây phả hệ sau:
Di truyền trội NST thường

Xác định kiểu di truyền trong cây phả hệ sau:
Di truyền lặn NST X
Ô đỏ đúng với TH: XaY x XAY


Xác định kiểu di truyền trong cây phả hệ sau:
Di truyền trội trên NST thường
Các thế hệ đều bị bệnh ➡ dọc ➡ Di truyền trội
Trai và gái đều bị bệnh ➡ NST thường
Nếu trội NST X ➡ Thế hệ 1-2 ➡ con trai không thể bị bệnh

Xác định kiểu di truyền trong cây phả hệ sau:
Di truyền lặn trên NST thường
Dạng ngang ➡ di truyền lặn
Trai + gái đều bị bệnh ➡ NST thường
Nếu lặn NST X ➡ Thế hệ 1-2 ➡ Chỉ con trai bị bệnh

Xác định kiểu di truyền trong cây phả hệ sau:
Di truyền lặn trên NST X
Dạng ngang ➡ di truyền lặn
Chỉ có nam bị bệnh ➡ NST X
XAXa x XAY ➡ Chỉ có con trai bị bệnh

Xác định kiểu di truyền trong cây phả hệ sau:
Di truyền ty thể
Mũi tên xanh: bố
Mũi tên đỏ: mẹ
Mẹ bị bệnh sinh con bị bệnh
Bố bị bệnh sinh con không bị bệnh


Xác định kiểu di truyền trong cây phả hệ sau:
Di truyền trội NST X
Ô đỏ: bố đẻ ra 2 con gái đều mắc bệnh


Xác định kiểu di truyền trong cây phả hệ sau:
Di truyền trội NST thường
Ô đỏ: nếu trội X ➡ con trai không thể bị bệnh


Một bệnh nhân nữ 9 tuổi nhập viện vì chảy máu mũi, thiếu máu nhẹ, xuất huyết dưới da đủ mọi dạng, gan và lách không to. Tiền căn gia đình có bố và anh trai bị chảy máu bất thường từ nhỏ, dễ bầm tự nhiên hoặc va chạm, chảy máu kéo dài sau nhổ răng.
Tham vấn quy luật di truyền của gia đình trên có khả năng cao nhất là gì?
Di truyền trội trên NST thường

2. Một bệnh nhân nam 12 tuổi nhập viện vì chảy máu không cầm sau nhổ răng, vết bầm dưới da do va chạm, sưng và đau đầu gối, gan và lách không to. Tiền căn gia đình có anh trai do chảy máu không cầm sau tai nạn. Chị gái bình thường, dễ bầm khi va chạm. Tham vấn quy luật di truyền của gia đình trên có khả năng cao nhất là gì?
Di truyền lặn trên NST X

Xác định kiểu di truyền trong cây phả hệ sau:
Di truyền lặn trên NST thường
Cây gia hệ: dạng ngang ➡ Di truyền lặn
Nam nữ đều bị bệnh ➡ NST thường
Nếu lặn X ➡ only con trai bị bệnh

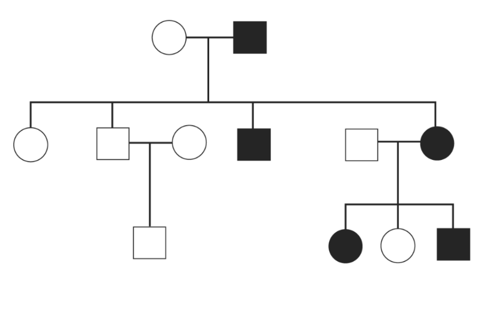
Xác định kiểu di truyền trong cây phả hệ sau:
Di truyền lặn trên NST thường

Xác định kiểu di truyền trong cây phả hệ sau:
Di truyền trội NST X
(Sách trang 65)

Xác định kiểu di truyền trong cây phả hệ sau:
Di truyền lặn trên NST X
Ô đỏ:
Trội thường: aa x aa
Trội X: XaXa x XaY
Sinh con không thể bị bệnh
Thế hệ I: số 1 x số 2 ➡ only con trai bị bệnh
(Sách trang 65)
