Home
Explore
Exams
Search for anything
Login
Get started
Home
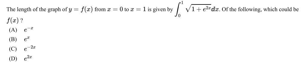
Lesson 6.6: Arc Length of a Curve (Unit 8.13)
Lesson 6.6: Arc Length of a Curve (Unit 8.13)
0.0
(0)
Rate it
Studied by 1 person
0.0
(0)
Rate it
Call Kai
Learn
Practice Test
Spaced Repetition
Match
Flashcards
Knowt Play
Card Sorting
1/11
There's no tags or description
Looks like no tags are added yet.
Study Analytics
All Modes
Learn
Practice Test
Matching
Spaced Repetition
Name
Mastery
Learn
Test
Matching
Spaced
No study sessions yet.
12 Terms
View all (12)
Star these 12
1
New cards
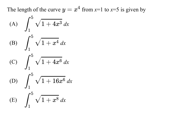
D
2
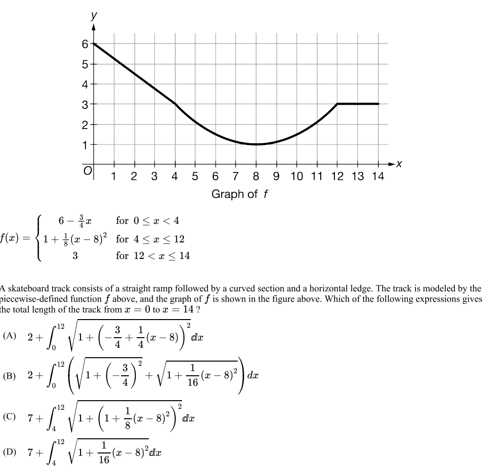
New cards
B
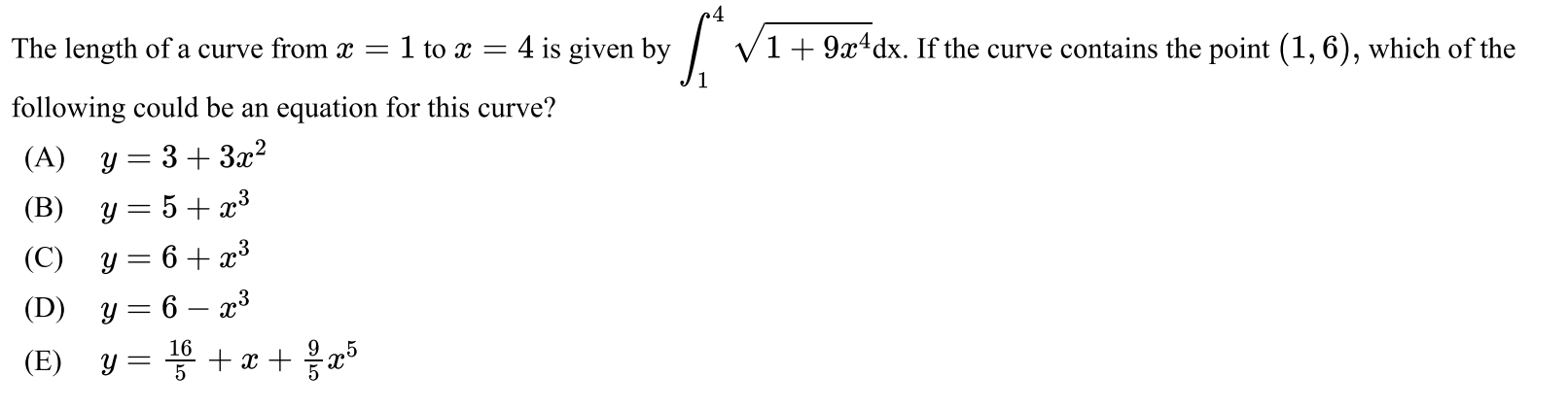
3
New cards
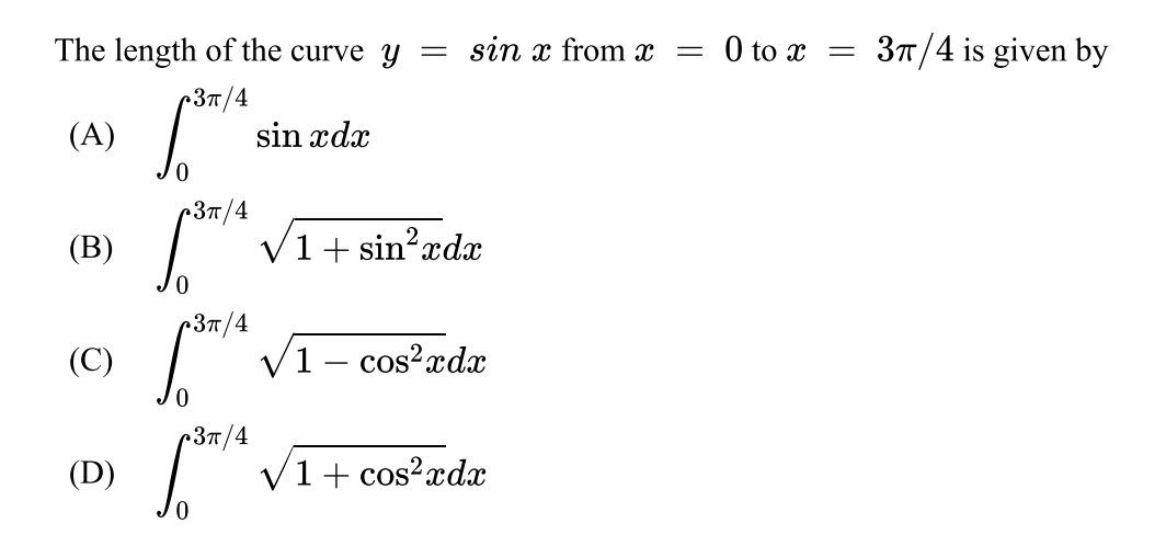
D
4
New cards
D
5
New cards
D
6
New cards
D
7
New cards
A
8
New cards
A
9
New cards
D
10
New cards
D
11
New cards
B
12
New cards
D
Explore top notes
Раздел 8: Экосистемы
Updated 962d ago
Note
Preview
Chapter 49: An Introduction to Ecology
Updated 1058d ago
Note
Preview
actualidad q1 vocab
Updated 391d ago
Note
Preview
Chapter 9:Solutions
Updated 1140d ago
Note
Preview
Eyewitness Testimony
Updated 332d ago
Note
Preview
Unit 2 Study Guide — Civics
Updated 672d ago
Note
Preview
INTRODUCTION: MATTER, ENERGY, AND MEASUREMENT
Updated 1056d ago
Note
Preview
The Ultimate Guide to AP United States Government and Politics
Updated 658d ago
Note
Preview
Раздел 8: Экосистемы
Updated 962d ago
Note
Preview
Chapter 49: An Introduction to Ecology
Updated 1058d ago
Note
Preview
actualidad q1 vocab
Updated 391d ago
Note
Preview
Chapter 9:Solutions
Updated 1140d ago
Note
Preview
Eyewitness Testimony
Updated 332d ago
Note
Preview
Unit 2 Study Guide — Civics
Updated 672d ago
Note
Preview
INTRODUCTION: MATTER, ENERGY, AND MEASUREMENT
Updated 1056d ago
Note
Preview
The Ultimate Guide to AP United States Government and Politics
Updated 658d ago
Note
Preview
Explore top flashcards
ARCC TOA
Updated 44d ago
Flashcards (141)
Preview
Le Système Educatif Français
Updated 814d ago
Flashcards (21)
Preview
Siðareglur, heildarsýn og kerfiskenningar - Almenn félagsráðgjöf
Updated 734d ago
Flashcards (27)
Preview
apgov unit 5
Updated 976d ago
Flashcards (62)
Preview
Anatomy Final Reproductive System
Updated 563d ago
Flashcards (118)
Preview
Environmental Conservation Exam 2
Updated 567d ago
Flashcards (125)
Preview
Psychology
Updated 1052d ago
Flashcards (42)
Preview
Lecture 12 - Climate effects on organisms, phenology and interactions
Updated 629d ago
Flashcards (27)
Preview
ARCC TOA
Updated 44d ago
Flashcards (141)
Preview
Le Système Educatif Français
Updated 814d ago
Flashcards (21)
Preview
Siðareglur, heildarsýn og kerfiskenningar - Almenn félagsráðgjöf
Updated 734d ago
Flashcards (27)
Preview
apgov unit 5
Updated 976d ago
Flashcards (62)
Preview
Anatomy Final Reproductive System
Updated 563d ago
Flashcards (118)
Preview
Environmental Conservation Exam 2
Updated 567d ago
Flashcards (125)
Preview
Psychology
Updated 1052d ago
Flashcards (42)
Preview
Lecture 12 - Climate effects on organisms, phenology and interactions
Updated 629d ago
Flashcards (27)
Preview