1/19
Looks like no tags are added yet.
Name | Mastery | Learn | Test | Matching | Spaced | Call with Kai |
|---|
No analytics yet
Send a link to your students to track their progress
Sine Cofunction Identity
sin(θ) = cos(90°−θ)
Cosine Cofunction Identity
cos(θ) = sin(90°−θ)
Tangent Cofunction Identity
tan(θ) = cot(90°−θ)
Cotangent Cofunction Identity
cot(θ) = tan(90°−θ)
Secant Cofunction Identity
sec(θ) = csc(90°−θ)
Cosecant Cofunction Identity
csc(θ) = sec(90°−θ)
Geometry (Reciprocal) Identities

Quotient Identities

Pythagorean Identities: Primary Pythagorean Identity

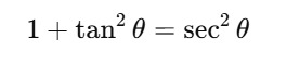
Pythagorean Identities: Tangent–secant identity

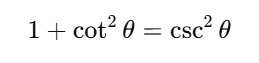
Pythagorean Identities: Cotangent–cosecant identity

Addition & Subtraction Identities: Sine Subtraction
Mnemonic device: Some Cows Can Sing

Addition & Subtraction Identities: Sine Addition
Mnemonic device: Some Cows Can Sing

Addition & Subtraction Identities: Cosine Subtraction
Mnemonic device: Chocolate Covered Sweet Strawberries

Addition & Subtraction Identities: Cosine Addition
Mnemonic device: Chocolate Covered Sweet Strawberries

Tangent of the Difference: Tangent Addition
Mnemonic device: Tim Takes Over One Tiny Town

Tangent of the Difference: Tangent Subtraction
Mnemonic device: Tim Takes Over One Tiny Town

Double Angle Identities: Sine

Double Angle Identities: Cosine

Double Angle Identities: Tangent
