1/35
Looks like no tags are added yet.
Name | Mastery | Learn | Test | Matching | Spaced | Call with Kai |
|---|
No analytics yet
Send a link to your students to track their progress
Potential output/GDP
The maximum sustainable level of output that the economy can produce. |
Potential output/GDP
This is the highest level of production an economy can maintain indefinitely without causing harmful side effects, such as rampant inflation or overuse of resources.
PPF (Production Possibilities Frontier)
he maximum quantity of goods that can be efficiently produced, given available technology and inputs.
PPF (Production Possibilities Frontier)
This boundary represents the best an economy can do with its existing resources. To achieve economic growth, the PPF must physically shift outward.
Economic Growth
Involves the expansion of a country’s potential GDP or national output over the long run.
Economic Growth
This simply means a country is able to produce more goods and services over time, leading to rising average incomes and improved living standards.
Human resources
Four Fundamental Factors Driving Economic Growth
Includes the size of the labor force and the quality of workers (education, skills, discipline)
Natural resources
Four Fundamental Factors Driving Economic Growth
Examples are oil and gas, as well as soils and climate.
Capital stock
Four Fundamental Factors Driving Economic Growth
This includes physical assets like homes, factories, and machinery, as well as intellectual property and social overhead capital.
Technology and entrepreneurship
Four Fundamental Factors Driving Economic Growth
This factor involves the quality of scientific and engineering knowledge, managerial know-how, and rewards for innovation.
Q=A⋅F(K,L,R)
The level of national output (Q) is represented by the formula
Q
Level of national output
The total amount of goods and services produced.
F(K, L, R)
A function of the level of productive services of capital (K), labor (L), and natural resource (R) inputs.
The inputs necessary for production (machinery, workers, and land/resources).
A (Technology)
Augments the productivity of inputs (produce more output with same level of inputs).
This factor represents the efficiency and knowledge used in production; better technology allows you to get more output from the same amount of inputs.
3/4
labor
1/4
capital
Productivity
Ratio of output to weighted average of inputs.
A measure of efficiency—how much a worker or machine can produce in a given time.
Classical Models (Malthus’s Dismal Science):
These models emphasized land and population as the most important factors, often resulting in a stable equilibrium at subsistence wages.
Theories of Growth
Neoclassical Growth Model (Solow):
This model focuses on capital accumulation (capital deepening) as the driver of growth.
The prediction is that growth stops when the economy reaches a steady state (V), where capital per worker (K/L) is constant, output per worker (Q/L) is constant, and real wages stop growing.
K/L
Capital per worker
Q/L
Output per worker
Capital Per Worker is constant (K/L)
Output per worker is constant (Q/L)
Real Wages Stop growing
When does the growth of the economy stop and reaches a steady state according to the Neoclassical growth Model
New Growth Theory
This theory recognizes that in the real world, living standards have not stagnated.
It posits that economic growth is primarily the result of endogenous (internal) forces.
Technological change (TC)
in the new growth theory ______, is viewed as an output of the system, generated through investment in human capital, innovation, and knowledge. Since TC is a public good, it is subject to market failures.
Growth in Labor
Growth In capital
Technological Chanfe
Growth accounting decomposes the growth in output into three terms:

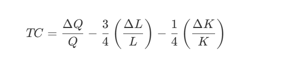
Fundamental equation of growth accounting (assuming a competitive economy where labor share is ¾ and capital share is ¼) is:
total factor productivity
TC is also called the growth of

In this model, TC is calculated as a "residual", meaning it is the portion of output growth that cannot be explained by measurable increases in labor or capital
Productivity growth
(when output grows faster than inputs)
is a vital measure of economic performance.
growth
focusing on market incomes
development
focusing on outcomes and progress
Low per capita income
poor health
low levels of literacy
malnutrition
weak institutions (both market and government).
Developing countries are often marked by
Human Capital:
Quality of education, malnutrition, and poor health.
Characteristics of Developing Countries:
Natural Resources:
The "Resource curse," where mineral wealth is not converted into productive capital.
Characteristics of Developing Countries:
Physical Capital:
Too little saving, leading to insufficient investment in social overhead capital (infrastructure).
Characteristics of Developing Countries:
Low average incomes → Low saving and investment → Low pace of capital accumulation → Low productivity → Low average incomes.
The difficulties in combining the four growth elements (human resources, natural resources, capital stock, technology) reinforce each other in a vicious cycle of poverty.