1/10
Looks like no tags are added yet.
Name | Mastery | Learn | Test | Matching | Spaced | Call with Kai |
|---|
No analytics yet
Send a link to your students to track their progress
Nucleotides
Smaller molecules with a phosphate group(s), sugar, and nitrogenous base

Polymers
Repeated subunits linked together in a chain
Pyrimidines

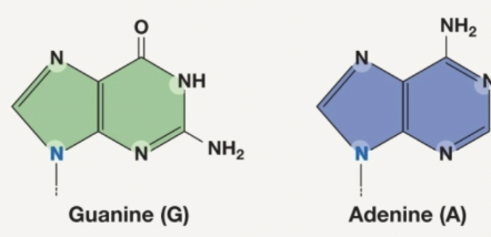
Purines

Sugars

Phosphodiester linkage
Links nucleotides together to make nucleic acids
DNA Primary and Secondary Structure
Has to be 3 rings across and C always has to go with G and T always have to go with A (and vise versa)

DNA Tertiary Structure
The final 3-dimensional shape of the nucleic acid

DNA Quaternary Strucure
How it interacts with other molecules, particularly proteins

RNA 3D Structure

Ribozymes
These shapes bind other molecules and bring them together, facilitating reactions