1/8
Looks like no tags are added yet.
Name | Mastery | Learn | Test | Matching | Spaced | Call with Kai |
|---|
No analytics yet
Send a link to your students to track their progress

Reactions at the Benzylic Position
Oxidation


Substitution Reactions 1


Substitution Reactions 2


Free-Radical Bromination


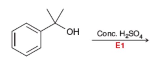
Elimination Reactions 1


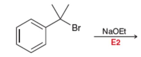
Elimination Reactions 2


Catalytic Hydrogenation


Birch Reduction 1


Birch Reduction 2
