1/32
Dot product, Orthogonal Projection, Cross product,
Name | Mastery | Learn | Test | Matching | Spaced | Call with Kai |
|---|
No analytics yet
Send a link to your students to track their progress
given vectors a: ⟨ a1, a2,a3 ⟩ and b: ⟨ b1, b2,b3 ⟩
Dot Product: 2 ways to find it
if you are given components:
if you are given angle between the 2 vectors:
it gives a ____
scalar
0 ≤θ ≤ π

Properties of dot product:
v⋅w
v⋅(u+w)
(cv)⋅w
0 ⋅w=
v⋅v = ____ thus |v| = _____
w⋅v
v⋅u + v⋅w
c(v⋅w) = v⋅ (cw)
0
|v|² (≥0 for all v), √(v⋅v)
θ =angle between the vectors = ______
θ restriction
if θ = 0 or π, then the vectors are _____
if θ = π/2, then the vectors are _____
0 ≤θ ≤ π
parallel
orthogonal

How to prove parallel vectors
How to prove perpendicular (orthogonal vectors)
scalar multiples
dot product is 0



scalar/component projection 2 formulas:
It is positive for an ___ angle and negative for an ____ angle).
acute, obtuse

vector projection of v in the direction of u formula
the one youre projecting onto has the ____
magnitude * direction
scalar * vector
direction

direction cosines
cos²α+cos²β+cos²γ=___
1

how to find unit vector from direction cosines

Cross product: u x v
2 ways to find it
if you have component form:
if you know angle θ btwn u and v:
it gives a ____
|u||v|sinθ * unit vector perp to u and v
vector

u x v is a vector _____ to both u and v
____ is ALSO a vector orthogonal to u and v
u x v = ____(v x u)
orthogonal
v x u
-
if a⋅b = 0
if a x b = 0
a and b are orthogonal
a and b are parallel
|u x v| =
|u||v| sinθ
Area of parallelogram and area of triangle given two vectors that go from the same point
magnitude of cross product
magnitude of cross product / 2

algebraic properties of the cross product: suppose u, v, and w are vectors in R3 and t is a scalar
v x u = ___ u x v (corollary: u x u = ___)
u x (v+w) = _____, (u+v) x w = _____
(tu) x v = t(u x v) = u x (tv)
u x 0 = ___
u⋅(v x w) = ____ (triple scalar product)
u x (v x w) = _______ (triple vector product)
-
u x v + u x w, u x w + v x w
0
(u x v)⋅w
(u⋅w)v - (u⋅v)w
triple scalar product: volume of parallelepiped formed by
vectors u, v, w
V = _____
How to find the triple scalar product:
|u⋅(vxw)| note the brackets mean abs value
Do cross product v x w but replace i j k with u1 u2 u3
how to prove 3 vectors u, v, and w are coplanar
if u⋅(v x w) = 0
Scalar equation for planes in R3
need a ____ (x0, y0, z0) and a _____ ⟨a,b,c ⟩
standard form:
general/linear form:
point on plane, normal vector
A(x-x0)+B(y-y0)+C(z-z0) = 0
Ax + By + Cz = D
planes are parallel if______ they’re perp if_____
angle between planes = ____
their normal vector are parallel or same, their normals are perp
angle btwn normals
how to find plane equation from 3 points
create two ____ from same ____
do a _____ of those 2 vectors to get the ____
fill out formula
vectors, point
cross product, normal vector
how to find plane equation from 1 point and a line in the plane
from the line, you can get a ____ and a _____
from the two points, get a _____, then do a _____ of those 2 vectors to get the normal
fill out formula
point, vector
vector, cross product
how to find plane equation from 2 points and equation of a plane perp to it
find vector on plane
find ____ of other plane using its equation
normal of the plane u wanna find is the cross product of the ____ and the _____
normal vector
vector on it, normal of the other plane
how to find angle between line and plane
line gives you ____ plane gives you_____
angle between = ______
vector, normal
90 - angle between the vector and normal

to find intersection of line and plane, “Plug” ___ into ____
line, plane

equation in line for R2 from point and normal vector

skew lines: lines that aren’t parallel but also do not ____
intersect
vector equation for plane
n = a normal vector (perpendicular to the plane)
r= position vector of a general point on the plane
r0 = position vector of a specific point on the plane
n⋅(r−r0)=0
or n⋅r = n⋅r0
find eq for line of intersection of 2 planes
lines need point and a vector
vector: _____ of _____ of the 2 planes
point: set ______= _ for sys of eqs for the 2 planes
cross product, normals
x,y, or z = 0
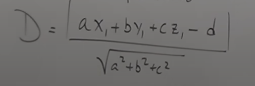
distance btwn point and plane

distance btwn parallel planes

distance btwn skew lines
skew lines can be contained by ______
1. find _______ of lines
2. find common normal: n = ______
3. lines have points, P1 & P2
4. take ____ and ______ to make eqs of planeS
5. find dist btwn the parallel planes
parallel planes
direction vectors v1 & v2
v1 x v2
P1 & n, P2 & n
dist btwn pt and line R3
|uxv| / |v|

dist btwn pt and line R2
-c if doing ax+by=c
