Derivatives

0.0(0)
Studied by 13 people
call kaiCall Kai
learnLearn
examPractice Test
spaced repetitionSpaced Repetition
heart puzzleMatch
flashcardsFlashcards
GameKnowt Play
Card Sorting

1/22

flashcard set

Earn XP

Description and Tags

Last updated 6:29 PM on 12/9/22
Name
Mastery
Learn
Test
Matching
Spaced
Call with Kai

No analytics yet

Send a link to your students to track their progress

23 Terms

1
New cards
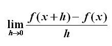
Definition of Derivative
lim h->0 f(x+h)-f(x)/h
lim h->0 f(x+h)-f(x)/h
2
New cards
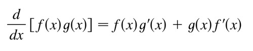
Product Rule
(f*g)'(x) =
f(x)*g'(x) + g(x)*f'(x)
(f*g)'(x) =
f(x)*g'(x) + g(x)*f'(x)
3
New cards
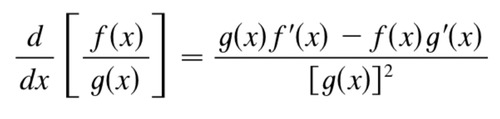
Quotient Rule
(f/g)'(x) =
g(x)*f'(x) - f(x)*g'(x) / [g(x)]^2
(f/g)'(x) =
g(x)*f'(x) - f(x)*g'(x) / [g(x)]^2
4
New cards
d/dx cos(x)
-sin(x)
-sin(x)
5
New cards
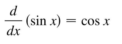
d/dx sin(x)
cos(x)
cos(x)
6
New cards
d/dx e^x
e^x
7
New cards
d/dx ln(x)
1/x
1/x
8
New cards
d/dx a^x
(a^x) ln(a)
9
New cards
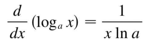
d/dx loga (x)
1/(x ln a)
1/(x ln a)
10
New cards
d/dx sin(x)
cos(x)
11
New cards
d/dx cos(x)
-sin(x)
12
New cards
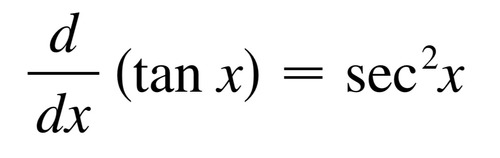
d/dx tan(x)
sec^2(x)
sec^2(x)
13
New cards
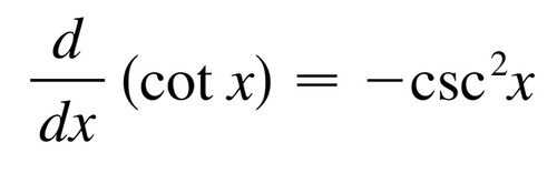
d/dx cot(x)
-csc^2(x)
-csc^2(x)
14
New cards
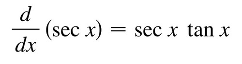
d/dx sec(x)
sec(x)*tan(x)
sec(x)*tan(x)
15
New cards
d/dx csc(x)
-csc(x)*cot(x)
-csc(x)*cot(x)
16
New cards
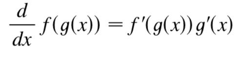
Chain Rule
d/dx f(g(x)) = f'(g(x))*g'(x)
d/dx f(g(x)) = f'(g(x))*g'(x)
17
New cards
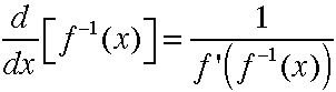
Inverse Functions
d/dx (f^-1 (x)) = 1/f'(f^-1 (x))
d/dx (f^-1 (x)) = 1/f'(f^-1 (x))
18
New cards
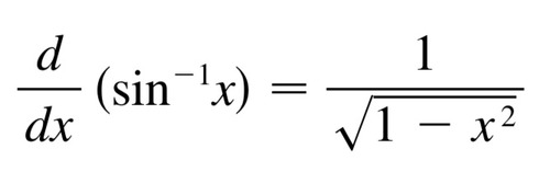
d/dx sin^-1 (x)
d/dx arcsin(x)
1/sqrt(1-x^2)
1/sqrt(1-x^2)
19
New cards
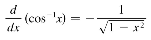
d/dx cos^-1 (x)
d/dx arccos(x)
-1/sqrt(1-x^2)
-1/sqrt(1-x^2)
20
New cards
d/dx sec^-1 (x)
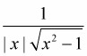
d/dx arcsec(x)
1/|x|*sqrt(x^2-1)
1/|x|*sqrt(x^2-1)
21
New cards
d/dx csc^-1 (x)
d/dx arccsc(x)
-1/|x|*sqrt(x^2-1)
-1/|x|*sqrt(x^2-1)
22
New cards
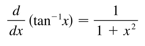
d/dx tan^-1 (x)
d/dx arctan(x)
1/x^2+1
1/x^2+1
23
New cards
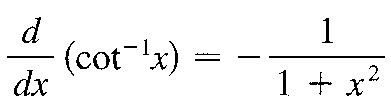
d/dx cot^-1 (x)
d/dx arccot(x)
-1/x^2+1
-1/x^2+1

Explore top notes

note
Study Guide Unit 1
Updated 413d ago
0.0(0)
note
To Kill A Mocking Bird-Chapter 1
Updated 1202d ago
0.0(0)
note
Chapter 8 - Emotions & moods
Updated 1339d ago
0.0(0)
note
Primitive Types
Updated 1074d ago
0.0(0)
note
Chapter 2- England's Colonies
Updated 1406d ago
0.0(0)
note
APUSH Timeline (copy)
Updated 325d ago
0.0(0)
note
Pre-Adolescent Development (10-14)
Updated 1145d ago
0.0(0)
note
Study Guide Unit 1
Updated 413d ago
0.0(0)
note
To Kill A Mocking Bird-Chapter 1
Updated 1202d ago
0.0(0)
note
Chapter 8 - Emotions & moods
Updated 1339d ago
0.0(0)
note
Primitive Types
Updated 1074d ago
0.0(0)
note
Chapter 2- England's Colonies
Updated 1406d ago
0.0(0)
note
APUSH Timeline (copy)
Updated 325d ago
0.0(0)
note
Pre-Adolescent Development (10-14)
Updated 1145d ago
0.0(0)

Explore top flashcards

flashcards
Business Finance WW4. AU4
26
Updated 900d ago
0.0(0)
flashcards
Commerce Unit 2
22
Updated 1053d ago
0.0(0)
flashcards
Gen psych exam 1 fall 2024
93
Updated 541d ago
0.0(0)
flashcards
SPAN 261H Final Exam
67
Updated 1198d ago
0.0(0)
flashcards
Semester 1: Charlemos
21
Updated 59d ago
0.0(0)
flashcards
Exam 2 History Review
34
Updated 1136d ago
0.0(0)
flashcards
Femur
34
Updated 479d ago
0.0(0)
flashcards
Business Finance WW4. AU4
26
Updated 900d ago
0.0(0)
flashcards
Commerce Unit 2
22
Updated 1053d ago
0.0(0)
flashcards
Gen psych exam 1 fall 2024
93
Updated 541d ago
0.0(0)
flashcards
SPAN 261H Final Exam
67
Updated 1198d ago
0.0(0)
flashcards
Semester 1: Charlemos
21
Updated 59d ago
0.0(0)
flashcards
Exam 2 History Review
34
Updated 1136d ago
0.0(0)
flashcards
Femur
34
Updated 479d ago
0.0(0)