1/27
Looks like no tags are added yet.
Name | Mastery | Learn | Test | Matching | Spaced | Call with Kai |
|---|
No analytics yet
Send a link to your students to track their progress
4/7 = ___%
57.1%
6/25 = ____%
24%
Convert to decimal
38.2%
0.382
Convert to decimal
29%
0.29
Decimal to Percent
0.1002
10.02%
0.6812 = %?
68.12%
5.035 = %?
503.5%
2.15 to % and decimal
215%; 215/100
What is 15% of 40?
6
32% of 75 =?
24
12% of 62 =?
7.44
78% of 115 = ?
89.7
24 is what percent of 80?

What percent of 90 is 36?

What percent of 35 is 18?
51.43%
26 is 40% of what number?

40% of 720 is 80% of what number?

30% of a number is 80% of 600. What is the number?

25% of 500 is 65% of what number?
192
60% of a number is 20% of 750. What is the number?
250
Winona took a 60 item exam and she answered 15 items incorrectly. What percent of the exam did she answer incorrectly?

Clark and Tristan both took the 90 item final math exam. They found out that have 18 incorrect answers. What percent of the exam did they answer correctly?
80%

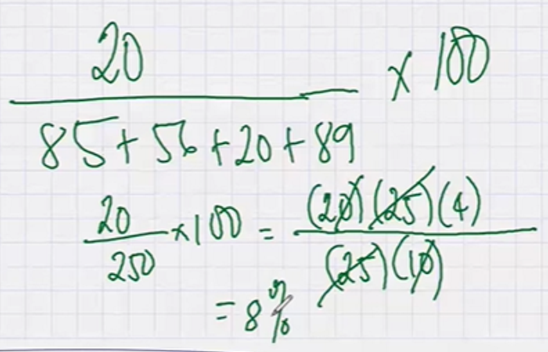
A group of students was asked which NMAT subject is their favorite. What percent of the students favor physics?

A laptop costs PHP 73,000. If it was on a 6% sale, how much should you pay to buy the device?

In a class of 45 students, 20 are boys. What is the ratio of girls to boys?
25/20 = 5/4 or 5:4
A crate of fruits contains 240 red apples. Green apples were added . If the ratio of red to green apples is 2:5, how many green apples were in the crate?

Five liters of diesel costs PHP 285. How much would it cost to fill four 3-L containers?

In the proportion a:b = c:d, c is 3 times the value of b.
If a is 15 and d is 20, What is the value of c?
