1/6
Looks like no tags are added yet.
Name | Mastery | Learn | Test | Matching | Spaced | Call with Kai |
|---|
No analytics yet
Send a link to your students to track their progress
uniform
circular motion.
For objects moving in circular motion with constant speed, the object is said to have ****** ***** *****
Circular motion
An object can be said to exhibit circular motion if it is moving in a circular path.
Centripetal force
center-seeking force. It’s main job is to bend the trajectory of the object to
form a circular path..

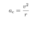
centripetal acceleration formula

Fc / Force Magnitude Formula

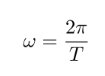
Angular frequency formula

Tangential velocity (magnitude) formula