1/27
Looks like no tags are added yet.
Name | Mastery | Learn | Test | Matching | Spaced | Call with Kai |
|---|
No analytics yet
Send a link to your students to track their progress
Formule + functionele groep van Alkanen
CnH2n+2, C — C
Formule + functionele groep van alkenen
CnH2n, C == C
Formule + functionele groep van alkynen
CnH2n-2

Formule + functionele groep van alcoholen
R-OH

Formule + functionele groep van aldehyden
R-CHO

Formule + functionele groep van carbonzuren
R-COOH

Formule + functionele groep van aromaten
CnHn

Formule + functionele groep van aminen
R-NH2

Formule + functionele groep van amiden
R-CO-NH2

Formule + functionele groep van ethers
R-O-R’

Formule + functionele groep van ketonen
R-CO-R

Formule + functionele groep van esters
R-COO-R’


Dit is een voorbeeld van
structurele isomerie → ketenisomerie

Dit is een voorbeeld van
structurele isomerie —> plaatsisomerie

Dit is een vb van
Structurele isomerie —> plaats isomerie

Dit is een vb van
Structurele isomerie —> functie isomerie

Dit is een vb van
structurele isomerie —> functie isomerie —> ringketen isomerie

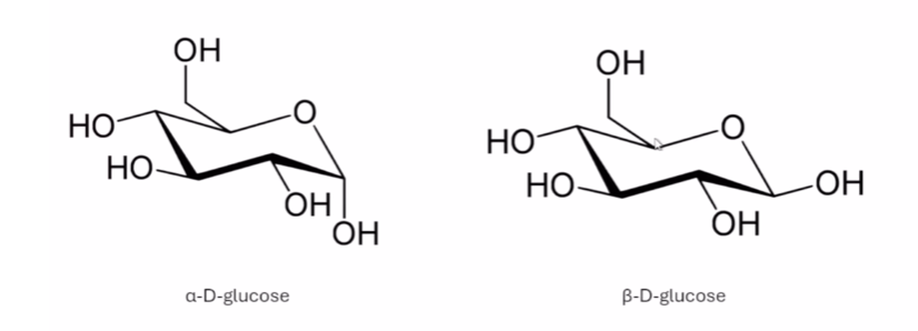
Links zie je een … isomerie en rechts een … isomerie, dit wijn voorbeelden van …
trans, cis, cis-transisomerie (stereo isomerie)

Dit is een vb van een
enantiomeer (spiegelbeeld stereo isomerie)
WAt is een chirale/asymetrische koolstofatoom en waar zie je het
koolstofatoom met vier verschillende zijgroepen, bij een enantiomeer moet er altijd minstens 1 chirale koolstof atoom zijn

Hoeveel chirale koolstofatomen heb je hier
beide C atomen zijn chirale C atomen
Leg deze reactype uit: substitutie
atoomgroep (meestal H) wordt vervangen door een ander atoom of groep

Leg deze reactietype uit: additie
een dubbele binding (dus s en pi binding) wordt omgezet naar een enkelvoudige binding (dus s binding),

Wat is hydrogenering
additie met waterstoffen

Wat is halogenering
Additie met halogenen

Leg deze reactietype uit: eliminatie
tegenovergestelde van additie, dus bindingspartners worden verwijderd om een dubbele binding te vormen tussen twee c-atomen, gebeurt vaak mbv een katalysator

Leg deze reactietype uit: condensatie
organische moleculen reageren tot een groter molecule en een klein molecule zordt afgesplitst (meestal H2O)

Leg deze reactietype uit: polymerisatie
Dit is een aanhechting van een heel groot aantal monomeren
