1/9
Looks like no tags are added yet.
Name | Mastery | Learn | Test | Matching | Spaced |
|---|
No study sessions yet.
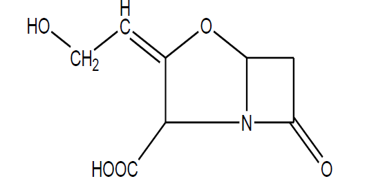
AC.Clavulanique (Inb β-lactamases)
XP6
Amoxicilline + acide clavunalique : Augmentin
Ticarcilline + acide clavunalique : Claventin

Sulbactam (Inb β-lactamases)
XP6

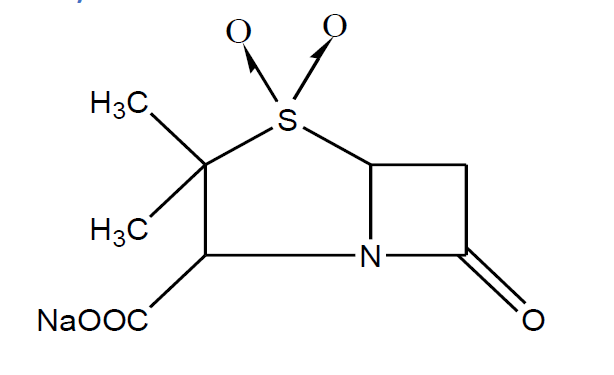
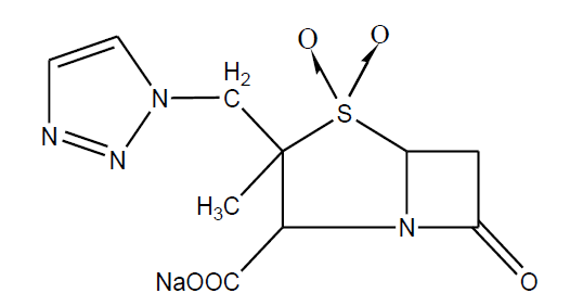
TAZOBACTAM (Inb β-lactamases)
Tazobactam + piperacilline: tazocilline


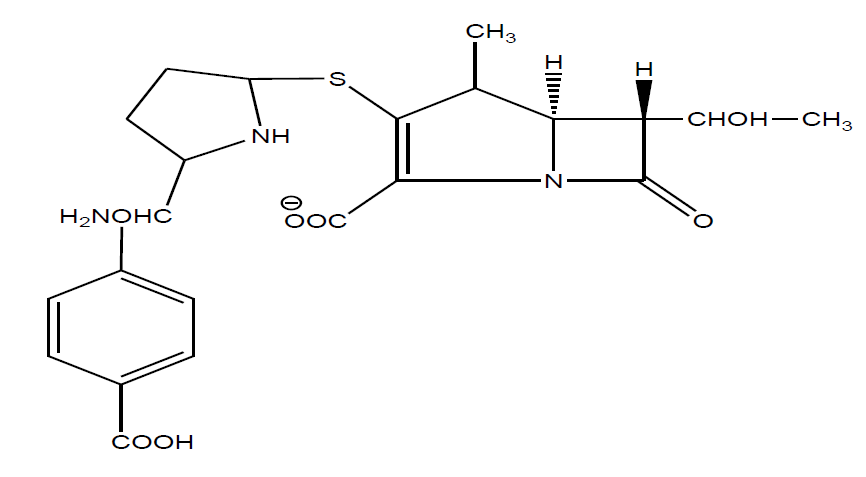
Thiénamycines

IMIPENEME (Thiénamycines)
CH=NH2+

MEROPENEME (Thiénamycines)

ERTAPENEME (Thiénamycines)
Utilisé en infections de peau srtt pied diabetique

DORIPENEME (Thiénamycines)

MONOBACTAME


Aztréonam
