1/32
Looks like no tags are added yet.
Name | Mastery | Learn | Test | Matching | Spaced |
|---|
No study sessions yet.

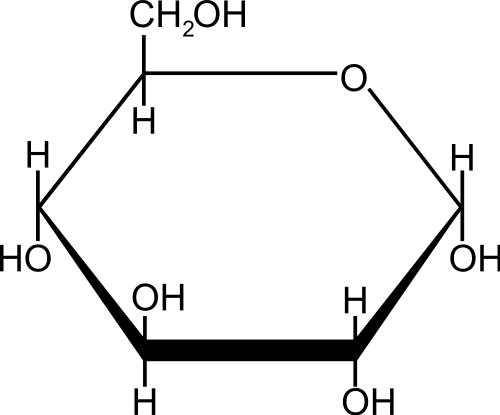
carbohydrate

carbohydrate

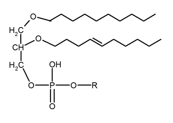
lipid

protein

protein

nucleic acid
What type of molecule includes an example with a long chain of carbon?
lipids
Which molecule has a central carbon atom with 4 different components around it?
proteins
Which molecule has a sugar, nitrogenous base, and a phosphate group?
nucleic acids
The presence of which elements make a molecule polar?
oxygen and hydrogen
What type of bond is a bond between sugars?
glycosidic bond
What type of bond is between amino acids?
peptide bond
single sugar molecule and monomer for carbohydrates
monosaccharide
multiple sugar molecules bonded
polysaccharide
Water is being removed from the reactants in a chemical reaction
dehydration synthesis
What are the four classes of organic compounds?
carbohydrates, lipids, proteins, and nucleic acids
Water is being added in a chemical reaction
hydrolysis
acronym for elements in carbohydrates
cho
acronym for elements in lipids
cho
acronym for elements in proteins
chons
acronym for elements in nucleic acids
chonp
Which type of molecules have R side chains?
amino acids
like dissolves like
things will mix or dissolve best when their polarities are similar
what occurs to the bonds of molecules during a chemical reaction?
they continually break and reform
what must happen for a bond to break?
energy has to be absorbed
what occurs when bonds are formed?
energy is released
what happens when more energy is released than stored during a chemical change?
the process can be used as a source of energy
the more carbon atoms in a molecule, ___
the more energy it can provide to an organism
what are the monomers of proteins?
amino acids
building blocks for the major biological macromolecules
monomers
molecules made up of multiple monomers
polymer
what make up lipids?
fatty acids
what are the monomers of nucleic acids?
nucleotides