1/20
Looks like no tags are added yet.
Name | Mastery | Learn | Test | Matching | Spaced | Call with Kai |
|---|
No analytics yet
Send a link to your students to track their progress
SERMs
Selective estrogen receptor modulators
tamoxifen, toremifene
Agonists at bone, antagonists at breast
Agonists at endometrium
Tx metastatic breast cancer in women (10-20mg/day)
Raloxifene, bazedoxifene
Agonists at bone, antagonists at breast
Antagonists at endometrium
Prevent osteoporosis in postmenopausal women
Common side effects of SERMs
Menopause-like symptoms: hot flashes, vaginal dryness, mood swings, fatigue
Increased risk of blood clots
Ospemifene
A SERM share a core structure with tamoxifen
Indications: moderate or severe dyspareunia. And vaginal dryness, due to menopause
Clomiphene
Classified as an antagonist or partial agonist
Block estrogen’s negative feedback inhibition on FSH/LH secretion
Increased LH and FSH for ovulation induction
Approved for treating infertility in anovulatory or oligo-ovulatory women
SERMs as ER agonists in bone
Specificity of SERMs action depends on the selective expression of cofactors for estrogen receptors (ER) in different tissues
binding of SERMs or estradiol induce different conformations of the ER
Specific cofactors in different tissues confer selectivity of SERMs
SERMs: MOA of agonists and partial agonists in bone tissue

SERMs: MOA of full agonists and antagonists. In breast tissue

testosterone production
Main androgen
Production in males:
95% by Leydig cells in testis
5% by the adrenal
Like other steroids, the majority binds to plasma proteins
Testosterone effects
Promote general growth and growth of reproductive organs during puberty
Secondary sex characteristics: virilization
Anabolic effects
increased synthesis and decreased breakdown of proteins
Feedback regulation of androgens (hypothalamus and pituitary)

DHT (Dihydrotestosterone)
More potent at androgen receptors than testosterone

Testosterone: therapeutic uses
Main use: male hypogonadism
orally administered testosterone mostly inactivated by the liver
More often used: conjugated esters, alkylated derivatives (depo-testosterone: testosterone cypionate in oil)
Testosterone: adverse effects
Exogenous testosterone suppresses testicular activity due to inhibition of gonadotropin release, azoospermia, decreased size of the testis
Hepatotoxicity (more with 17-alkylated analogs)
increased liver enzymes, cholestasis (decreased bile flow from liver), liver tumor, vascular changes
Danazol
Androgen receptor agonist
Also has weak progestational and glucocorticoid activities
Suppresses ovarian function and inhibits mid-cycle surge of LH/FSH
Major use: Tx endometriosis
AE: weight gain, acne, increased hair growth
Contraindications: pregnancy, hepatic dysfunction

Synthetic androgen receptor antagonists
Flutamide, bicalutamide, darolutamide, enzalutamide
Newer drugs (bica-, daro-, enza-)generally have less adverse effects including liver toxicity
Eg Daro- SE: fatigue, bone fracture, fall
These drugs are often combined with GnRH agonists or antagonists to treat prostate cancer
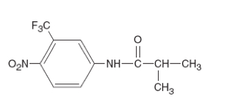
Flutamide: structure and uses
Off-label uses: hirsutism, PCOS, female pattern hair loss
AE: hepatic injury, need blood monitoring of liver function gynecomastia (about 9%)

Clascoterone (winlevi)
Synthetic androgen receptor (AR) antagonists
Approved by FDA in 2020 for treating acne
androgens stimulate secretion of sebum, which contribute to acne
As and AR antagonist, the drug decreases sebum production
Topical cream, little systemic absorption
AE: local irritation, may suppress hypothalamic-pituitary-adrenal axis

Androgen receptor antagonists
Flutamide, Daro-, Enza-, Bica-lutamide: prostate cancer
Spironolactone: hirsutism in women
Clascoterone: acne
5 alpha-reductase inhibitor
Finasteride (Proscar 5mg, Propecia 1mg)
DHT is more potent at androgen receptors
Tx BPH, male pattern hair loss
AE: decreased libido, ED, breast tenderness
Inhibits formation of testosterone into DHT by 5 alpha-reductase