Antidepressants

0.0(0)
studied byStudied by 0 people
0.0(0)
full-widthCall Kai
learnLearn
examPractice Test
spaced repetitionSpaced Repetition
heart puzzleMatch
flashcardsFlashcards
GameKnowt Play
Card Sorting

1/20

encourage image

There's no tags or description

Looks like no tags are added yet.

Study Analytics
Name
Mastery
Learn
Test
Matching
Spaced

No study sessions yet.

21 Terms

1
New cards

Imipramine is considered an NE/5-HT reuptake inhibitor (NSRI), but has a higher affinity for SERT. How is this possible?

the demethylated metabolite is selective for NET

2
New cards

Which is non-TCA SNRI (selective for NE)?

B

3
New cards

Which is a common metabolic transformation for SSRIs?

dealkylation of a basic amine

4
New cards

if a patient takes imipramine, which other antidepressants will the patient test positive for in a drug test?

A

5
New cards

which is the most likely metabolite of desipramine?

A + D

6
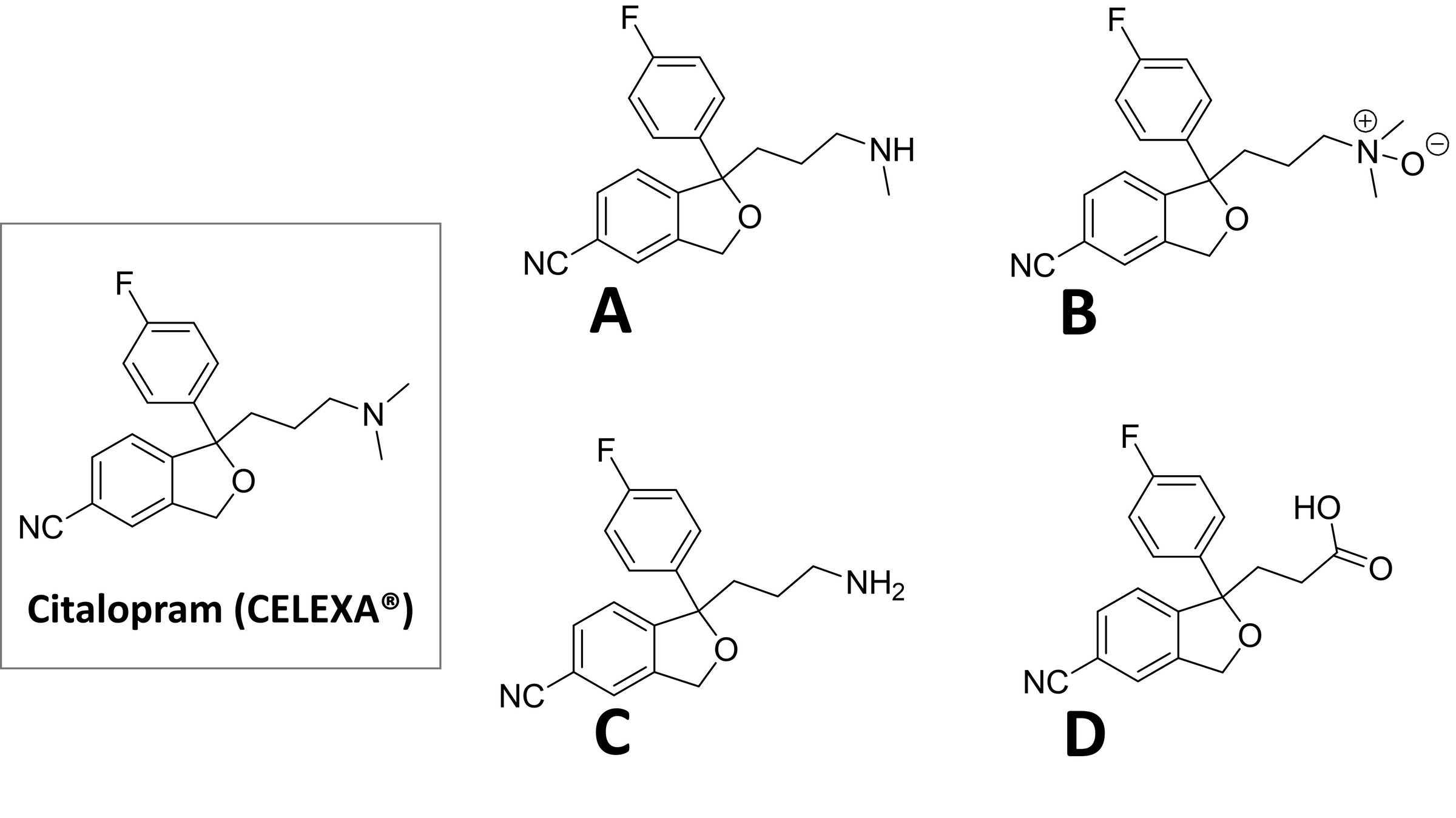
New cards

which metabolite of citalopram likely has poor CNS penetration?

D

7
New cards

Which NSRI is least likely to cause QT prolongation?

C

8
New cards

the effect of an MAOI will diminish as soon as the drug is continued

false

9
New cards

Which metabolic event is very likely to occur with duloxetine?

n-dealkylation

10
New cards

which position on duloxetine is likely to undergo aromatic oxidation?

A

11
New cards

which position is most likely to undergo aromatic oxidation?

1

12
New cards

which is the most likely metabolite of clomipramine?

A

13
New cards

in the blood (pH = 7.4), SSRIs will most likely be ionized

true

14
New cards

SSRIs are best described as:

indirect agonists

15
New cards

Citalopram is formulated as the HBr salt. Which is the correct, formulated structure?

B

16
New cards

Which is an active metabolite of fluoxetine?

A

17
New cards

N-dealkylation is common for most SSRIs

true

18
New cards

Serotonin is the only important neurotransmitter in depression.

false

19
New cards

which is SERT selective?

A

20
New cards

which is NET selective?

C

21
New cards

which is not selective for SERT nor NET?

B