1/30
Looks like no tags are added yet.
Name | Mastery | Learn | Test | Matching | Spaced | Call with Kai |
|---|
No analytics yet
Send a link to your students to track their progress

methyl

ethyl

phenyl

carbonyl ( aldehyde)

carbonyl (ketone)

carboxyl

hydroxyl

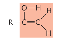
enol

ether

ester

acetyl

anhydride

amino ( protonated)

amido

imine

N sub imine ( schiff base)

guanidinium

imidazole

sulfhydryl

disulfide

thioester

phosphoryl

phosphoanhydride

mixed anhydride ( carboxylic acid and phosphoric acid , also called acyl phosphate)