1/29
Looks like no tags are added yet.
Name | Mastery | Learn | Test | Matching | Spaced | Call with Kai |
|---|
No analytics yet
Send a link to your students to track their progress
Washer/Disk equation

Tube/Shell equation

y = ax

y = ax + b

y = x² + ax

y = -x² + ax

y = x² +or- a

y = +or- a - x²

y = x^p

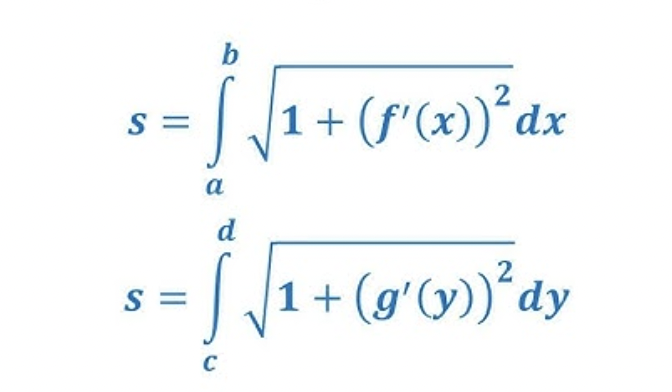
arc length

SA length

y = f(x)
integration by parts formula

LIPET(order of what to use as f for integration by parts)
Log, Inverse trig, Polynomial, Exp function, trig function
Integral of ln(x)
= xlnx - x +C
sin²x + cos²x =
1
1 - sin²x =
cos²x
1 - cos²x =
sin²x
(even powers)sin²x =
½ - ½ cos2x
(even powers)cos²x =
½ + ½ cos2x
First Day Shortcut

tan²x +1 =
sec²x
sec²x - 1 =
tan²x
When the power of tan is odd
move a sec x tan x and u = sec x
When the power of sec is even
move a sec²x and u = tan x
When the power of sec is even and tan is odd
either will work
Integral of: sec x dx =
ln|secx + tanx| + C
Integral of: sec²x dx =
tanx + C
Integral of: tan x dx =
-ln|cosx| + C
Integral of: tan²x dx =
tanx - x + C
Integral of: tan³x dx =
tan²x / 2 + ln|cosx| + C