1/11
Looks like no tags are added yet.
Name | Mastery | Learn | Test | Matching | Spaced | Call with Kai |
|---|
No analytics yet
Send a link to your students to track their progress
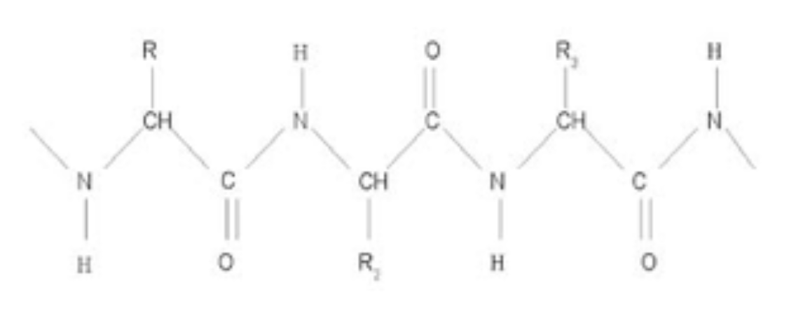
Protein structure

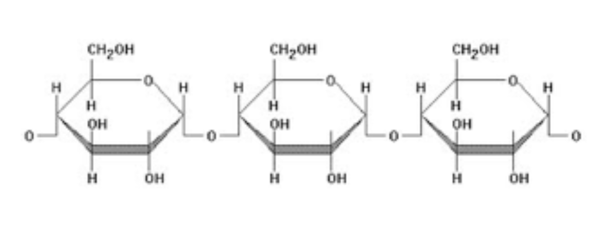
Carbohydrate structure

Lipid structure

Nucleic acid structure

Protein monomer
Amino acid
Carbohydrate monomer
Monosaccaride
Lipid monomer
Fatty acid
Nucleic acid monomer
Nucleotide
Protein polymer
Polypeptide
Carbohydrate polymer
Polysaccaride
Lipid polymer
Phospholipids
Nucleic acid polymer
DNA+RNA