1/21
Looks like no tags are added yet.
Name | Mastery | Learn | Test | Matching | Spaced | Call with Kai |
|---|
No study sessions yet.
40. Calculating Cross Rates

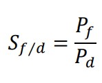
41. Cross Rates (Bid-Bid Ask) Table

42. Covered Interest Rate Parity

43. Mark-to-Market Value of a Forward Contract

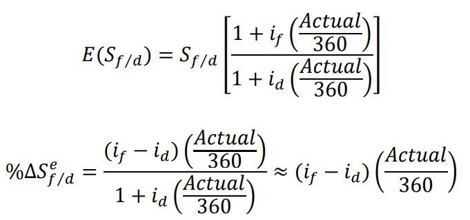
44. Uncovered Interest Rate Parity

45. Absolute PPP

46. Relative PPP

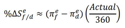
47. Ex Ante PPP

48. International Fisher Effect

49. Grinold-Kroner Model

50. Dilution Effect

51. Cobb-Douglas Production Function

52. Output per Worker

53. Percentage Change in Labor Productivity

54. Marginal Product of Capital (MPK)

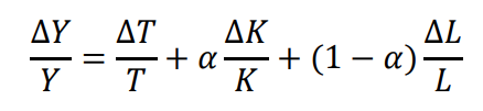
55. Growth Accounting Equation

56. Growth Rate in Potential GDP

57. Labor Force Participation

58. Sustainable Growth Rate of Output per Capita

59. Sustainable Growth Rate of Output (Steady State Growth Rate)

60. Equilibrium Output-to-Capital Ratio (in Steady State)

61. Endogenous Growth Model
