1/12
Looks like no tags are added yet.
Name | Mastery | Learn | Test | Matching | Spaced | Call with Kai |
|---|
No analytics yet
Send a link to your students to track their progress
Hydrophobic side chain
non-polar
Hydrophilic side chain
polar or charged

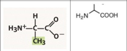
ALA, none, hydrophobic nonpolar

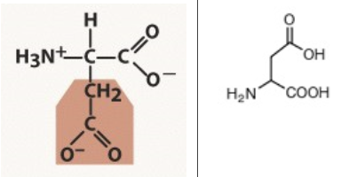
ASP, carboxylate, hydrophilic ionic charged

CYS, thiol, hydrophilic polar

GLU, carboxylate, hydrophilic ionic charged

GLY, none, hydrophobic nonpolar

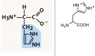
HIS, n/a, hydrophilic ionic charged

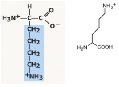
LYS, primary amine, hydrophilic, ionic charged

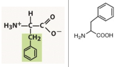
PHE, phenyl, hydrophobic nonpolar

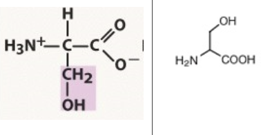
SER, alcohol, hydrophilic polar

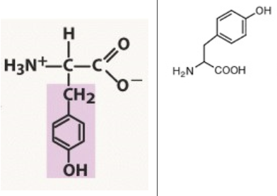
TYR, phenol, hydrophilic polar

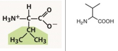
VAL, none, hydrophobic nonpolar