20 amino acids of protein

0.0(0)
studied byStudied by 0 people
0.0(0)
full-widthCall with Kai
GameKnowt Play
New
learnLearn
examPractice Test
spaced repetitionSpaced Repetition
heart puzzleMatch
flashcardsFlashcards
Card Sorting

1/19

encourage image

There's no tags or description

Looks like no tags are added yet.

Study Analytics
Name
Mastery
Learn
Test
Matching
Spaced

No study sessions yet.

20 Terms

1
New cards
<p>Glycine</p>

Glycine

nonpolar, hydrophobic

2
New cards
<p>Alanine</p>

Alanine

nonpolar, hydrophobic

3
New cards
<p>Valine</p>

Valine

nonpolar, hydrophobic

4
New cards
<p>Leucine</p>

Leucine

nonpolar, hydrophobic

5
New cards
<p>Isoleucine</p>

Isoleucine

nonpolar, hydrophobic

6
New cards
<p>Methionine</p>

Methionine

nonpolar, hydrophobic

7
New cards
<p>Phenlalanine</p>

Phenlalanine

nonpolar, hydrophobic

8
New cards
<p>Tryptophan</p>

Tryptophan

nonpolar, hydrophobic

9
New cards
<p>Proline</p>

Proline

nonpolar, hydrophobic

10
New cards
<p>Serine</p>

Serine

polar, hydrophilic

11
New cards
<p>Threonine</p>

Threonine

polar, hydrophilic

12
New cards
<p>Cysteine</p>

Cysteine

polar, hydrophilic

13
New cards
<p>Tyrosine</p>

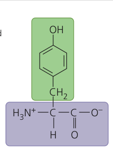
Tyrosine

polar, hydrophilic

14
New cards
<p>Asparagine</p>

Asparagine

polar, hydrophilic

15
New cards
<p>Glutamine</p>

Glutamine

polar, hydrophilic

16
New cards
<p>Aspartic acid</p>

Aspartic acid

polar (charged), hydrophilic, acidic

17
New cards
<p>Glutamic acid</p>

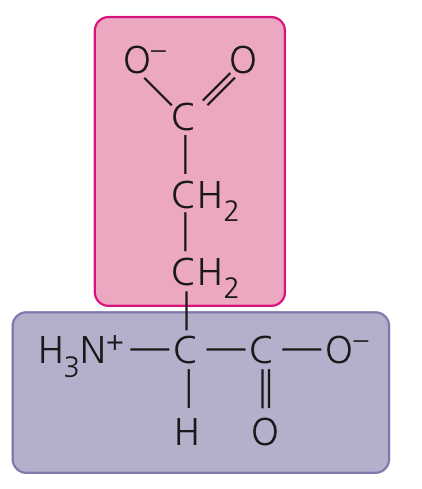
Glutamic acid

polar (charged), hydrophilic, acidic

18
New cards
<p>Lysine</p>

Lysine

polar (charged), hydrophilic, basic

19
New cards
<p>Arginine</p>

Arginine

polar (charged), hydrophilic, basic

20
New cards
<p>Histidine</p>

Histidine

polar (charged), hydrophilic, basic