1/96
Looks like no tags are added yet.
Name | Mastery | Learn | Test | Matching | Spaced | Call with Kai |
|---|
No analytics yet
Send a link to your students to track their progress

BHT
Antioxidant added to many fatty foods

Iodine
Forms a deeply colored complex with starch

2’,3’-dideoxy-ATP
Old-school Sanger DNA sequencing reagent

Geranylgeranyl-PP
Precursor of all diterpenes

Sterculic acid
Strange, strained fatty acid found locally in the invasive Chinese parasol tree

Vitamin D
Formed by UV irradiation of cholesterol precursor

Lanosterol
First steroid formed in mammals; abundant in sheep wool fat

2-carboxyoxazolidine
A soluble product if D-amino acid oxidase (DAAO) in mammalian kidneys

Ethidium bromide
DNA intercalator used to stain gels

Myo-inositol
Sugar alcohol found in some phospholipids

Allantoin
Soluble purine degradation product made by most animals

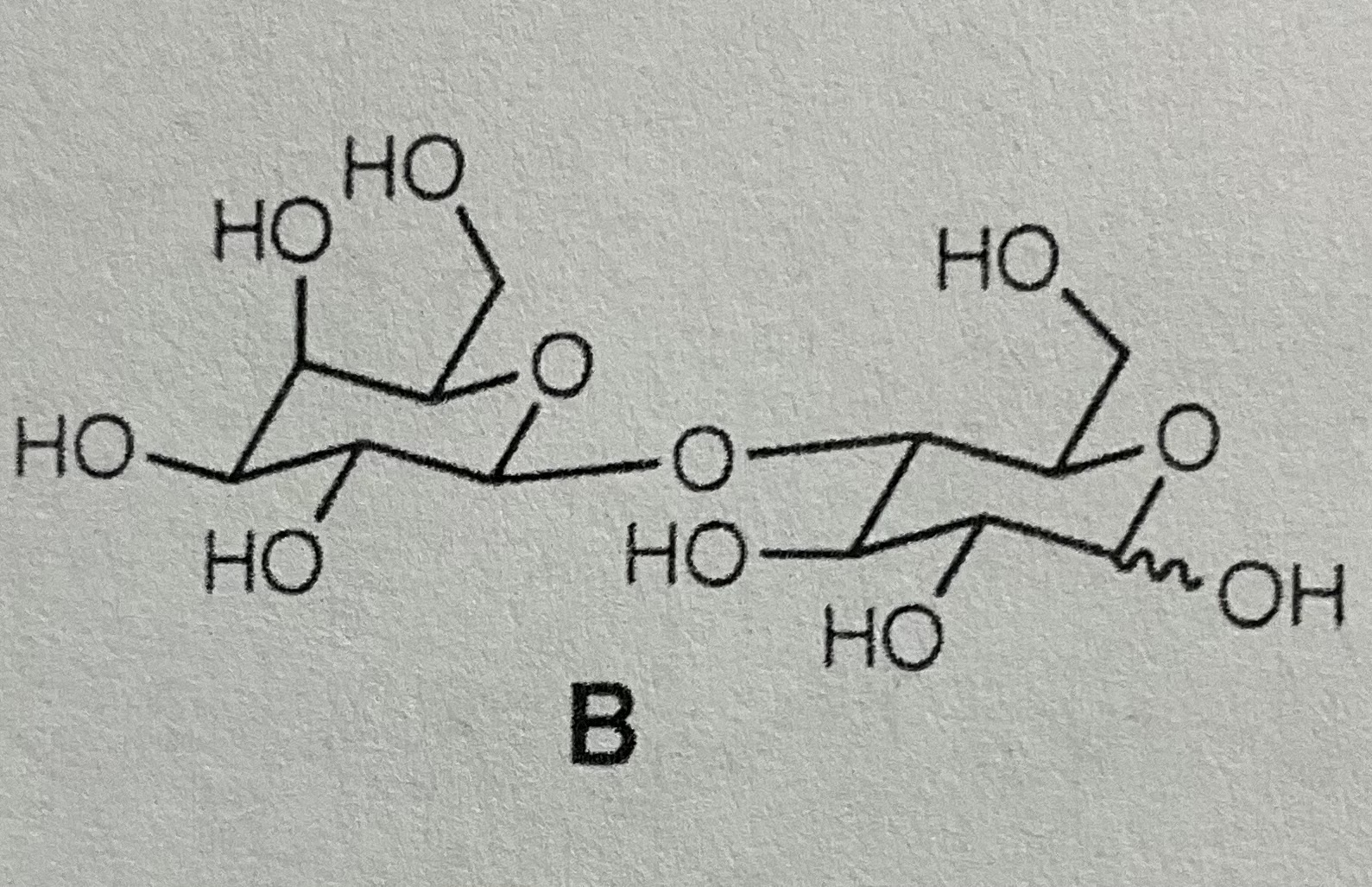
Cellobiose
Indigestible disaccharide for all humans

Sphingosine
Parent compound of a class of lipids abundant in nervous tissue

Stigmasterol
Plant steroid now used for progesterone synthesis

Ouabain
Cardiac glycoside inhibitor of the Na+, K+,ATPase

AMPS
Cofactor required for heparin synthesis

Caffeine
Purine alkaloid stimulant

Lactose
Indigestible disaccharide for majority of humans

B-carotene
Converted to vitamin A in human intestines

Coenzyme Q
Isoprenoid electron transport cofactor whose synthesis is blocked by antihypercholesteremic drugs

Squalene
High-MW liquid and precursor of all steroids

Vitamin E
Common fat soluble biological antioxidant

Hydrazine
Highly flammable T-lane DNA sequencing reagent

Arachidonic acid
Precursor of prostaglandins

Aflatoxin B1
Most potent rat carcinogen; not carcinogenic in mice

Chondroitin Sulfate
Polysaccharide in tendons and cartilage

Amylopectin
The more abundant component of starch

Benzo(a)pyrenediol expoxide
Potent carcinogen that alkylates adednine and guanine aminos groups in DNA

Cholic acid
Sequestrian of this compound by Dowex-1 can lower serum cholesterol

Progesterone
Steroid hormone used in birth control pills

Allopurinol
Inhibitor of xanthine oxidase

Celebrex
Cox-2 inhibitor that is still on the market

Ibuprofen
Old, inexpensive cox inhibitor

Acetyl coenzyme A
High energy compound used for transfer of two carbon units; made from pantothenic acid

Ninhydrin
Reagent for quantitation of amino acids and visualization of latent fingerprints

Canavanine
1.5% of dry weight of alfalfa sprouts; causes autoimmune diseases in some herbivores

Cibacron Blue F3GA
Blue dye molecule with a high affinity for many nucleotide-binding enzymes

y-Carboxyglutamate
Amino acid formed by post-translational modification of some calcium binding proteins

Imazapic
Inhibitor of branched chain amino acid biosynthesis that is still used in roundup extend control

4-Hydroxyproline
Amino acid formed by post translational modification of fibrous proteins such as collagen

Shikimic acid
Biosynthesis precursor of all aromatic amino acids

Diquat
One of the somewhat toxic herbicides that replace glyphosate in the new “roundup”

Phenyllactate
The toxic molecule that builds up in person with PKU who eat too much F.

1,3-Diphosphoglycerate
High energy compound with the second largest (most negative) free energy of hydrolysis

MES
“Good” buffer with relatively low pka of 6.15

Flexeril
Muscle relaxant that may cause drowsiness

S-Adenosylmethionine
High energy compound used for biological methylation reactions

Nexium
Enantiomerically pure version of racemic over the counter drug for treatment of acid reflux

Benadryl
Antihistamine that causes drowsiness

Hydroxylysine
Amino acid formed by post translational modification of some protein

Homogentistic acid
It’s oxidation causes the urine of people with alkaptonuria to turn black in air

Phenyl isothiocyanate
The Edmonton reagent for n-terminal sequence analysis

PIPES
“Good buffer” with the lowest pka/C

(+)-pseudoephedrine
The pressor amine in sudafed (but nit sudafed pe)

Phospoenolpyruvate
The higher energy compound with the most negative free energy of hydrolysis

Provigil
Prescription drug used to treat excessive daytime sleepiness; best for pilots in long duration flights

Trypan Red
Early drug used to treat African sleeping sickness

Finasteride (propecia)
Inhibitor of testerone reductase

Cellulose
The most abundant natural product on earth

Theobromine
Chocolate alkaloid

A wax
Likely to be found on the surface of an apple

Uric acid
Antioxidant degradation product if purines

Amylose
The less abundant component of starch

Retinal
Diterepene component of bacteriorhodopsin

antifreeze protein
Binds to the surfaces of growing ice crystals

Cardiolipin
A phospholipid notably found in the heart muscles

Thymine
A pyrimidine unlikely to be found in mRNA

Lysophophospholipid
Formed by action of snake venom

Vitamin K
Isoprenoid cofactor involved in blood clotting

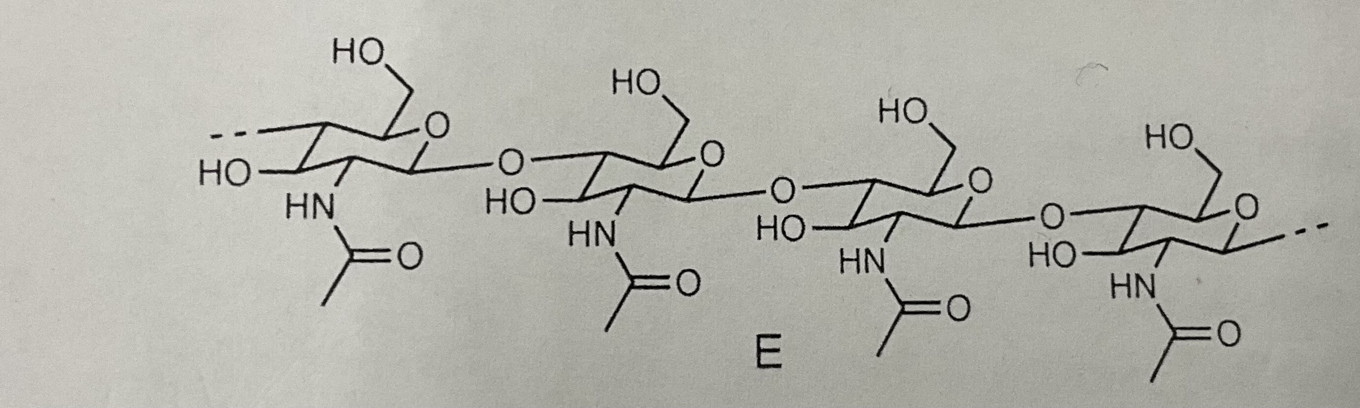
Chitin
An obsolete to eating crawfish

Geranylgeraniol
Diterepene often used to make lipid anchors

Vioxx
Cox-2 inhibitor now withdrawn from the market

Dihydrotestosterone
Hormone implanted in male patterned baldness

Heparin
Anticoagulant favored by vampire bats

Prostaglandin G2
The immediate product of the cyclooxygenase

Crystal violet
Binds to bacterial peptidoglycan

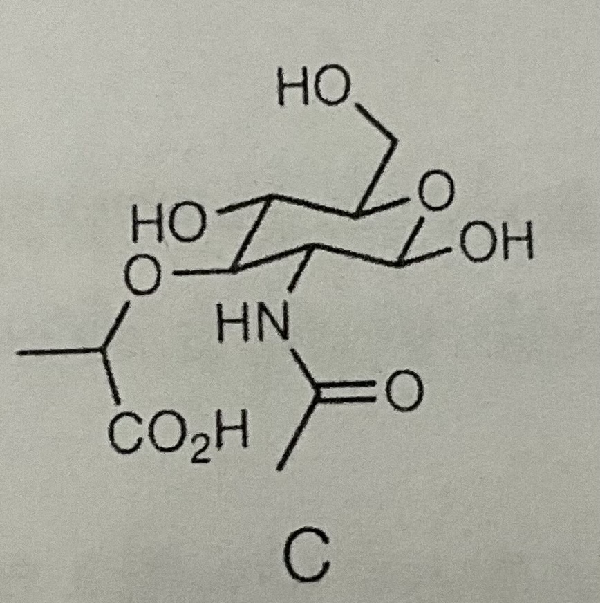
N-acetylmuramic acid
Bridges peptidoglycan polysaccharide and peptide

B-pinene
Monoterpene found in household cleaners

cerebroside
A sphingolipid notably found in nervous tissue

Xylitol
A cold sweet sugar used in many candies

Mevalonic acid
Precursor of cholesterol used as a very low vapor pressure lubricating oil

Pencillin
Inhibitor of bacterial cell wall synthesis

Testosterone
Natural anabolic steroid

Ethidium
Intercalating agent used to stain DNA

a-tocopherol
Antioxidant vitamin that keeps fats from going rancid

FAD
Cofactor used in one carbon Transfer reaction

Cortisone
Anti-inflammatory hormone

EPSP
It’s synthesis is blocked by glyphosate

Tetrahydrofolic acid
Cofactor used in one atom transfer

Imazapyr
Cell wall biosynthesis inhibitor not approved as drug

Tris
Pka of this buffer has a high temperature dependence

1-aminobenzotriazole
Mechanism based activator of a cytochrome p-450

Pyrrole-2-carboxylate
Transition-state analog for proline racemase

B-fluoroalanine
Toxic molecule that builds up in phenylketonuria

Phenylisothiocyanate
Reagent used for edman degradation

Sucrose
Non reducing disaccharide of cane sugar

strychnine