1/34
Looks like no tags are added yet.
Name | Mastery | Learn | Test | Matching | Spaced | Call with Kai |
|---|
No analytics yet
Send a link to your students to track their progress
Mean Formula

Mean formula where x-mid-points of classes

Mode formula

Median formula

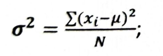
Standard Deviation formula

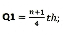
Q1 Lower Quartile for ungrouped data

Q1 Lower Quartile for grouped (tabulated) data

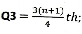
Q3 Upper Quartile for ungrouped data

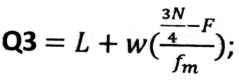
Q3 Upper Quartile for grouped (tabulated) data

Variance (ungrouped data)

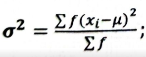
Variance (grouped data)

Standard Deviation (ungrouped data)

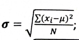
Standard Deviation (grouped data)

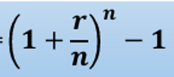
Compound Interest rate

Future value

Present value

Real Interest rate

Effective Annual Interest Rate (EAR)

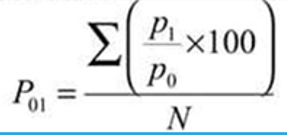
Fixed base index

Chain bas index

Simple Aggregate index

Simple mean index when arithmetic mean is used

Simple mean index when geometric mean is used

Laspeyres method

Paasche’s method

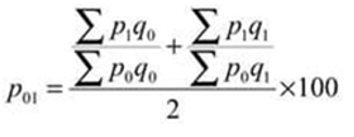
Dorbish & Bowleys method

Fisher’s ideal index

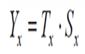
Additive Time Series Model

Multiplicative Time Series Model
