1/19
Looks like no tags are added yet.
Name | Mastery | Learn | Test | Matching | Spaced | Call with Kai |
|---|
No analytics yet
Send a link to your students to track their progress
DISTANCE FORMULA 1
DISTANCE BETWEEN TWO POINTS

DISTANCE FORMULA 2 (PERPENDICULAR DISTANCE FORMULA)
GIVEN POINT AND 1-GENERAL EQN OF A LINE

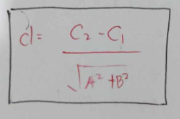
DISTANCE FORMULA 2
BETWEEN 2 PARALLEL LINES IN THE FORM OF GEN EQN

MIDPOINT FORMULA

SECTION FORMULA (INTERNAL)

SECTION FORMULA (EXTERNAL)
WHRE M1 > M2

INCLINATION OF A LINE

AREA OF A TRIANGLE

SLOPE FORMULA

SLOPE FORMULA OF PERPENDICULAR LINES
OR M1 (M2) = -1

SLOPE FORMULA OF PARALLEL LINES

GENERAL EQN OF A LINE

POINT-SLOPE FORM

TWO-POINT FORM

SLOPE-INTERCEPT FORM

INTERCEPT FORM

STANDARD EQN OF A LINE

DISTANCE BETWEEN TWO POINTS IN SPACE (3D)
