1/29
Looks like no tags are added yet.
Name | Mastery | Learn | Test | Matching | Spaced |
|---|
No study sessions yet.

Name this sugar


VERY IMPORTANT!!!!


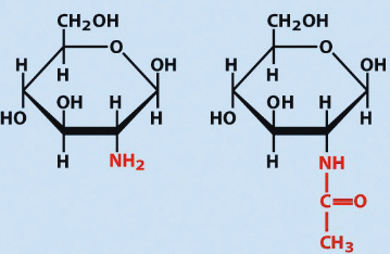
Glucosamine and N-acetylglucoseamine

Galactosamine, mannosamine

Gluconic acid, glucuronic acid

Fructose

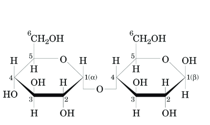
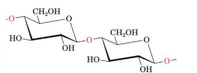
Maltose

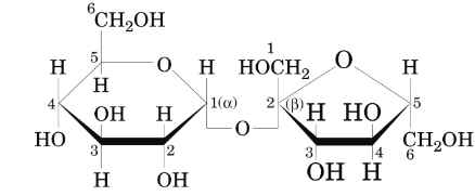
Lactose

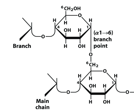
Glycogen

Cellulose

Palmitic acid (no double bonds)

Oleic acid (doubel on 9th carbon)

Linoleic acid

Alpha linolenic acid

Arachidonic acid

Triacylglycerol

Phosphatidic acid, phosphatidylethanolamine

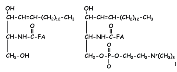
Ceramide, sphingomyelin

Cholesterol

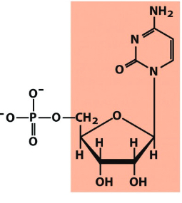
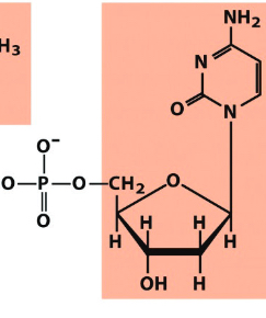
Cytidine

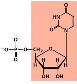
Uridine

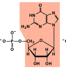
Guanosine

Adenosine

Deoxycytidine

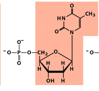
Deoxythimidine

Deoxyguanosine

Deoxyadenosine
What is ATP structure?

What is ADP tsructure?

What is AMP structure
