1/72
Looks like no tags are added yet.
Name | Mastery | Learn | Test | Matching | Spaced | Call with Kai |
|---|
No analytics yet
Send a link to your students to track their progress
Ecosystem Resilience
Ability of an ecosystem to resist change and remain “unchanged” in face of perturbations and/or ability to recover following a change
Disturbance
Force external to community that’s relatively discrete in time that changes resources of physical environment (i.e. fire)
Succession
How communities recover after disturbance
Community Succession
Repeatable change in community composition through time following a disturbance
Community Succession: Primary Succesion
Newly exposed or newly formed land is colonized by living things
Succession that begins new communities + uninfluenced by prior communities
often starts from bedrock
not influenced by prior community
severe disturbance (rare) i.e. lava flow or severe landslide
Community Succession: Secondary Succession
Part of an ecosystem is disturbed and remnants of previous community remain
Succession follows disturbance of pre-existing community + influenced by pre-existing community
often soil remains that may contain seeds from pre-existing species
less severe disturbance (more common) i.e. fire, flood, severe winds
Pioneer species
The first species that colonize an area after disturbance
Traits of species that colonize quickly
Far dispersal distances to travel in from nearby areas unaffected by disturbance
Hardy, tolerant dormant stages (i.e. fire-resistant seeds)
Hardy, tolerant adult stages (i.e. some trees can survive being burnt in fires)
Quick growth in high-light environments
Traits of species that colonize late in succession
Low dispersal
Slow growth
Tolerant of low-light conditions
Climax community
When a steady state (equilibrium) is reached
persists relatively stably until a disturbance occurs
What are the 3 models of succession?
Facilitation
Inhibition
Tolerance
Facilitation
New bedrock (no soil) can only be inhabited by few, tolerant species- → they make bedrock more habitable for other species (break up rock in soil, add nutrients)
as environment = more habitable, new less stress-tolerant species that are better competitors move in
Tends to occur during primary succession
Facilitation model of succession
Assumes that only early-successional species can colonize a recently-disturbed site + these early colonizers alter the site in ways that enable later-successional species to establish
applies mainly to primary succession
Inhibition
Occurs when a species inhibits colonization by others
i.e. by monopolizing resources (taking up space, growing leaves tall to block sunlight from seedlings)
when an individual dies → resources it was monopolizing are freed up
often trends from short-lived species to long-lived species
Inhibition model of succession
Assumes that any species can colonize a recently disturbed site + they prevent others from establishing —→ over time, short-lived (fast growing) species are replaced by long-lived (slow growing) species
applies mainly secondary succession
Tolerance
Occurs when early-succession species neither inhibit nor facilitate later-succession species
species abundances change over time when some species out-compete others
often, random chance of which species arrives first determines what the dominant species will be
Late-succession species often just arrived later or grew more slowly than early-succession species
Tolerance model of succession
Assumes any species can colonize a recently-disturbed site and they have no influence on other’s ability to establish —→ over time, species that are weak competitors for resources are replaced by species that are stronger competitors
applies mainly to secondary succession
Inhibition: Succession Mechanisms
First colonizer: Any species arriving can establish
Late-succession species that arrive are: Negatively impacts
Facilitation: Succession Mechanisms
First colonizer:
Late-succession species that arrive are:
Tolerance: Succession Mechanisms
First colonizer:
Late-succession species that arrive are:
Frequent disturbance would lead to a community dominated by …
Pioneer and early-succession species
Rare or lack of disturbance would lead to a community dominated by …
Late-succession species
climax community
Intermediate disturbance hypothesis
Biodiversity is highest when disturbances occur at an intermediate frequency
Food Webs
Energy diagrams that depict movement of energy and nutrients
Trophic Levels
Describe the steps of energy transfer along the food web
Primary producers
Typically form the base
Autotrophic organisms (can make their own food)
Heterotrophs or consumers
Organisms that can make their own food so must eat other organisms for energy
Secondary consumer: eats primary consumers
Tertiary consumer: eats secondary consumers
Apex predator
The top level of a food web
Photoautotrophs
Get their energy through photosynthesis
i.e. plants, algae, some bacteria like cyanobacteria, phytoplankton
Chemoautotrophs
Get their energy through chemosynthesis
i.e. some bacteria, archaea, deep sea vent organisms
Decomposers
Feed on the remains of other animals: digesting dead matter → put nutrients back into soil for producers
are a category of organisms
detritivores, fungi, microorganisms (bacteria + protists)
Detritivores
Heterotrophic animals that feed on dead, particulate, organic material (chiefly plant matter)
i.e. crabs, snails, earthworms, dung beetles, flies
are detritus feeders (Detritus: particulate, decaying matter like leaves, bark, roots, stems, animal feces, dead animals)
Net primary productivity
The amount of energy captured by photosynthesis in plants minus energy lost through respiration
How much energy is available for primary consumers to eat
is a lot less than total amount of energy taken in by producers (GPP)
NPP = GPP - R
NPP = net primary productivity, GPP = gross primary productivity, R = respiration
Energy Loss (Trophic Efficiency)
Each step up in trophic level decreases energy by ~90%
Total energy (+ usually biomass) decreases at each trophic level
Biomass = total mass of organisms in a given area

Where does energy go?
a) Feces: digestion/metabolic inefficiency
b) Growth: producing new macromolecules
c) Cellular respiration: Maintaining homeostasis
Trophic level transfer efficiency …
Varies across ecosystems, typically ~10%
Formula = (production at present trophic level / production at previous trophic level) x 100

Trophic inefficiency explains why there’s more biomass + biodiversity @ low latitudes:
More energy input in ecosystem (sunlight) = more trophic levels can be supported = more biodiversity possible
Bioaccumulation
Environmental toxins become more concentrated @ higher trophic levels
Krill (primary consumers) contain trace amounts of mercury → consumers eat large amounts of prey due to trophic inefficiency → energy transfer is inefficient but mercury transfer is “efficient”
Changes in the abundance of a species can cause a …
Trophic cascade
Keystone species
Species that have a disproportionate effect on their community structure
Herbivory
Prey is plants
Predation
Prey is animals
Is density-dependent: predation increases when pop density is high, vice versa
once predator pop crashes, prey are released from predation pressure
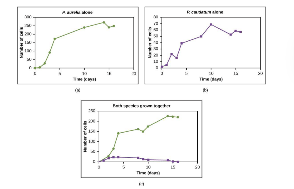
The Lotka-Volterra model of predator-prey dynamics makes unrealistic assumptions
Prey population size is only influenced by predation
Pop size is only influenced by availability of prey species

Parasitism (+ / -)
Parasite live in or on host
Harm host but don’t directly kill it (typically rely on host + need it alive)
Benefits at cost of host
Parasites vs. Parasitoids
a) Parasites: Harm but don’t directly kill host
b) Parasitoids: Directly kill their host
Symbiosis
When species live in direct and intimate contact with each other
often used to only indicate mutualistic relationships, but technically it refers to closeness of the interactions
some mutualisms could be non-symbiotic
some symbiotic relationships are parasitic or commensalistic
Mutualism (+/ +)
Both partners benefit
Can be symbiotic, but not necessarily
Two types;
Obligate
Facultative
Mutualism: Obligate
Partners can’t survive outside the mutualism
i.e. acacia trees + acacia ants → their mutualism has driven evolution of specialized traits
Mutualism: Facultative
Partners can survive outside the relationship
Plant-mycorrhizae mutualism
The most important mutualism on earth
plants provide sugars to fungi (+) → mycorrhizae absorbs nutrients + water from soil and pass them to plant (+)
Commensalism
One partner benefits (+) while the other is unaffected (0)
i.e. some types of dispersal, like burdocks, or clownfish living among sea anemone
Amensalism
One partner is harmed (-) while the other is unaffected (0)
i.e. large grazers step on ants, disrupt nets/burrows of ground animals, crush plants
Niche
Environmental conditions and resources that define the requirements for a species to persist
N-dimensional Hypervolume
The multi-dimensional space of resources (i.e. light, nutrients, structure, etc) used/occupied by a species
dimensions are environmental conditions and resources
defined by hutchinson 1957
Fundamental niche
The set of conditions allowing the species to survive if there are no other species interfering

Competition occurs when …
Two species attempt to occupy the same niche (use the same resources)

How do organisms compete with each other?
Interspecific = between species
Intraspecific = within species
Interference competition (direct)
Individuals actively prevent others from attaining a resource in a given area or territory
i.e. Allelopathy: one plant releases toxic chemicals that poison the soil for others
Exploitative competition (indirect)
Consumption of limited resources by individuals makes it more difficult for others to attain the resource
also called scramble competition
Potential outcomes of competition
Competitive exclusion
Niche partitioning/differentiation
Character displacement
Competitive Exclusion Principle
No two species can share the exact same niche

Competitive Exclusion
The weaker competitor may be entirely excluded from that portion of the niche where overlap occurs

Fundamental Niche
The niche a species could potentially occupy in the absence of competition
Realized Niche
The niche a species actually occupies due to competitive exclusion
There’s often a tradeoff between _____ and _____
Tolerance of harsh environments; competitive ability
results in generalists and specialists
Generalists
Can occupy a broad fundamental niche but typically are poor competitors
Specialists
Occupy more limited fundamental niche, typically are strong competitors for that niche
Competitive Exclusion
If niches overlap completely, one species may be outcompeted to extinction

Potential outcomes of competition
Competitive exclusion
Resource partitioning/niche differentiation
Character displacement
Niche differentiation (aka resource partitioning)
Species use different parts of the environment due to interspecific competition
Species use different parts of the environment in order to coexist
species alter their use of the niche to avoid competition by dividing resources among them
Spatial Niche Partitioning
Use the same resource but in a slightly different physical area
i.e. Rooting Depth: plants retrieve similar nutrients from different parts of the soil column
Temporal Niche Partitioning
Use the same resource at different times
Character displacement
When resource partitioning changes the resources species use which leads to evolutionary changes in traits
i.e. beak shapes adapting to be different to specialize on different seeds