1/19
Looks like no tags are added yet.
Name | Mastery | Learn | Test | Matching | Spaced | Call with Kai |
|---|
No analytics yet
Send a link to your students to track their progress
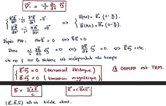
les équations de Maxwell

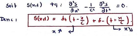
les équations de propagation d’alemebert

solution de l’équation d’alemebert

la structure de l’onde électromagnétique plane progressive

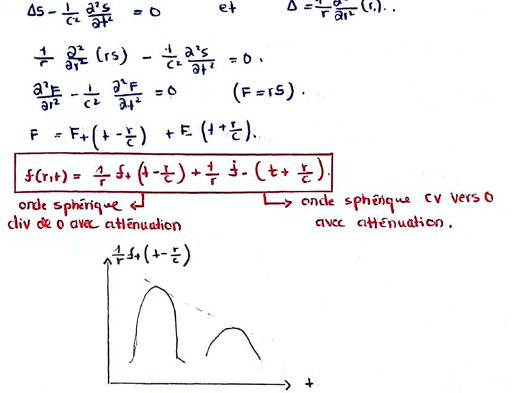
onde sphérique

l’xpression de s(M,t)

le nombre d’onde

l’onde électromagnétique

la represétation complexe de s(M,t)

la représentation complexe de l’onde électromagnétique

la relation de dispertion

la relation de B en fonction de K et E

vitesse de phase

vitesse de groupe

vecteur de Poynting

vecteur de Poynting moyenne

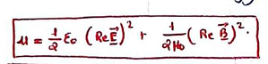
densité volumique de l’énergie électromagnétique

la moyenne de la densité volumique de l’énergie électromagnétique

polarisation d’une OPPM
delta phi = cte ,donc l’onde est polarisée
delta phi =!cte ,donc l’onde est non polarisée
les différents types de polarisation
