C1.2 Cell Respiration

0.0(0)
studied byStudied by 4 people
0.0(0)
full-widthCall with Kai
GameKnowt Play
New
learnLearn
examPractice Test
spaced repetitionSpaced Repetition
heart puzzleMatch
flashcardsFlashcards
Card Sorting

1/11

encourage image

There's no tags or description

Looks like no tags are added yet.

Study Analytics
Name
Mastery
Learn
Test
Matching
Spaced

No study sessions yet.

12 Terms

1
New cards

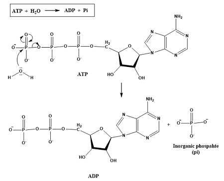
ATP structure

nucleotide with base adenine, pentose sugar ribose, 3 phosphate groups negatively charged and in a chain

<p>nucleotide with base adenine, pentose sugar ribose, 3 phosphate groups negatively charged and in a chain</p>
2
New cards

properties of ATP that make it suitable for its role as the energy currency of the cell

  • water soluble - moves freely through aqueous solutions in the cell

  • stable in pH levels of cytoplasm and other close to neutral substances

  • cannot pass freely through membrane’s phospholipid bilayer - movement between membrane-bound organelles within cells can be controlled

  • ATP’s 3rd phosphate group is easily removed and reattached with hydrolysis and condensation reactions

  • hydrolyzing ATP to ADP and phosphate releases relatively small amount of energy, enough for many processes within the cell, without excess and conversion to heat

<ul><li><p>water soluble - moves freely through aqueous solutions in the cell</p></li><li><p>stable in pH levels of cytoplasm and other close to neutral substances</p></li><li><p>cannot pass freely through membrane’s phospholipid bilayer - movement between membrane-bound organelles within cells can be controlled</p></li><li><p>ATP’s 3rd phosphate group is easily removed and reattached with hydrolysis and condensation reactions</p></li><li><p>hydrolyzing ATP to ADP and phosphate releases relatively small amount of energy, enough for many processes within the cell, without excess and conversion to heat</p></li></ul><p></p>
3
New cards

life processes within cells that ATP supplies with energy (3 main types of activity)

  1. synthesizing macromolecules

    • anabolic reactions that link monomers together are endothermic and unlikely to occur without being coupled with the conversion of ATP to ADP

    • 1 or more ATP molecules used every time monomer is linked to growing polymer

    • ex. synthesis of DNA during replication, RNA in transcription, protein translation

  2. active transport - pumping of ions or other particles across a membrane against concentration gradient

    • energy required to cause reversible changes to conformation of pump protein, different conformations for allowing particles to enter and exit differed sides of the membrane

    • ATP used to cause change from more stable to less stable configuration, change to more stable does not require energy

  3. movements (of components of cells)

    • ex. vesicles move to transport materials within cells

    • changing shape of a cell, changes of shape sometimes used for locomotion

4
New cards

energy transfers during interconversions between ATP and ADP

  • energy released when ATP converts to ADP and PI because ATP contains more potential chemical energy than ADP due to its extra bond

  • energy required to convert ADP and phosphate back to ATP, can come from

    • cell respiration - energy released by oxidizing carbohydrates, fats, proteins

    • photosynthesis - light energy converted to chemical energy

    • chemosynthesis - energy released by oxidizing inorganic substances like sulfides

  • energy conversions between ADP and ATP are not 100% efficient, some energy is lost as heat

  • processes that require energy stop if all ATP within a cells is used up → cell degradation and death

    • prevented by continual regeneration of ATP from ADP and phosphate

5
New cards

cell respiration

function of life performed by all living cells, controlled release of energy from carbon (organic) compounds to produce ATP

  • respiratory substrates - mainly glucose and fatty acids

<p>function of life performed by all living cells, controlled release of energy from carbon (organic) compounds to produce ATP</p><ul><li><p>respiratory substrates - mainly glucose and fatty acids</p></li></ul><p></p>
6
New cards

gas exchange

simple diffusion, oxygen enters cells and carbon dioxide exits cells simultaneously but independently, different process from cell respiration but interdependent

  • without gas exchange - lack of oxygen but excess of carbon dioxide

  • without cell respiration - gases cannot diffuse without concentration gradients produced by use of O2 and production of CO2

7
New cards

aerobic cell respiration

  • oxygen used as electron acceptor in oxidation reactions

  • can use carbohydrates, lipids, amino acids after deamination

  • waste products of carbon dioxide and water

  • much higher ATP yield - more than 30 ATP molecules per glucose

  • initial reactions in cytoplasm, more in mitochondria

8
New cards

anaerobic cell respiration

  • other substances used as electron acceptors in oxidation reactions

  • can only use carbohydrates

  • waste products of carbon dioxide and lactate or ethanol, water not produced

  • 2 ATP per glucose

  • all reactions happen in cytoplasm, mitochondria not required

9
New cards

cellular respiration in humans

  • aerobic respiration - circulatory and respiratory system supply oxygen to most organs of the body rapidly enough for aerobic respiration

  • anaerobic respiration - can supply ATP rapidly over a short period of time, used when needed to maximize power of muscle contractions

10
New cards

lactate/lactic acid

waste product of anaerobic respiration in muscles

  • limit to concentration of lactate tolerated by human body - restricts how much anaerobic respiration can be done, short timescale for maximized power of muscle contractions

  • oxygen debt - demand for oxygen that builds up during period of anaerobic respiration, as oxygen is required to break down lactate

11
New cards

electron carriers

substances that can accept and lose electrons reversibly, often link oxidations and reductions in cells

  • oxidation - loss of e- from a substance

  • reduction - gain of e- from a substance

12
New cards

NAD (nicotinamide adenine dinucleotide)

main electron carrier in respiration

  • NAD+ + 2H+ + 2e- → NADH + H+

  • initially NAD+, substances oxidized in respiration by removing two H atoms, NAD+ accepts 2e- and 1 p+ from H atoms, becomes NADH + H+