1/56
Functional Groups, Alcohols, Amines, Phosphates
Name | Mastery | Learn | Test | Matching | Spaced | Call with Kai |
|---|
No study sessions yet.

Alkene

Alkyne

Arene

Alkyl Halide

Alcohol

Ether

Thiol

Amine

Carbonyl

Aldehyde

Ketone

Carboxylic Acid

Ester

Amide

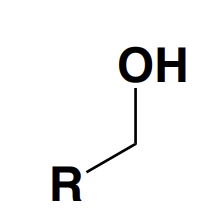
Primary Alcohol

Secondary Alcohol

Tertiary Alcohol

5-methylhexan-1-ol

3-ethylcyclohexan-1-ol

Ammonia

Primary Amine/Amino Group

Secondary Amine

Tertiary Amine

Ethylamine

Ammonium Ion

Primary Ammonium Ion

Quaternary Ammonium Ion

Phosphoric Acid

Phosphate

Phosphate Ester

Phosphate Diester

Phosphate Anhydride

Phosphate Ester

Ketone

Primary Alcohol

Ester

Ether

Arene

Tertiary Amine

Alkene

Lipid (Oleic Acid)

Carboxylic Acid

Glycerol

Phosphatidylcholine

Fatty Acid

Beeswax

Isoprene

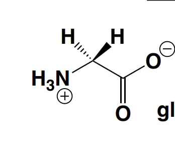
Glycine

Alanine

Lysine

Carboxyl Group

Imine

Thioester

Acid Chloride

Acyl Phosphate

Sulfide

Nitrile