1/4
Looks like no tags are added yet.
Name | Mastery | Learn | Test | Matching | Spaced |
|---|
No study sessions yet.
what’s one thing to remember?
i = √-1
we will use this in solving these negative radicals
simplify: √-9
rewrite as √-1(9)
write as a new equation: √-1 * √9
take the square root → i * 3
answer is 3i
simplify: √-441
rewrite as √-1(441)
write new equation √-1 * √441
take the square roots → i * 21
answer is 21i
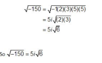
simplify: √-150
notice how this is NOT a perfect square so we solve it differently
√-150 = √-1(25)(6)
25 is a perfect square
new equation: √-1 (√25) (√6)
answer is 5i√6

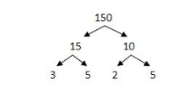
simplify: √-150 (other method)
you can also solve negative non-perfect square numbers with the factor tree !
