1/8
Looks like no tags are added yet.
Name | Mastery | Learn | Test | Matching | Spaced | Call with Kai |
|---|
No analytics yet
Send a link to your students to track their progress

Hydroxyl (Class of compound: Alcohol)

Aldehyde (Class of compound: Aldehyde)

Keto (Class of compound: Ketones)

Carboxyl (Class of compound: Carboxylic Acid)

Amino (Class of compounds: Amines)

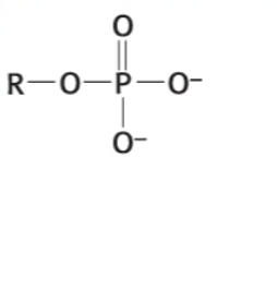
Phosphate (Class of compounds: Organic phosphates)

Sulfhydryl (Class of compounds: Thiols)

Hydrophobic (Class of compounds: Hydrocarbon chains (aliphatic))

Aromatic