1/16
IP 1 class of 2028
Name | Mastery | Learn | Test | Matching | Spaced | Call with Kai |
|---|
No analytics yet
Send a link to your students to track their progress
ezetimibe

ezetimibe (active metabolite)

clofibrate

gemfibrozil

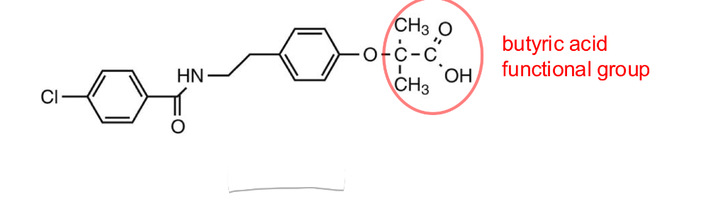
fenofibrate

ciprofibrate

bezafibrate

colestipol

cholestyramine

lovastatin/simvastatin

pravastatin

fluvastatin

atorvastatin

pitavistatin

rosuvastatin

bempedoic acid

statin pharmacophore
