1/47
Name | Mastery | Learn | Test | Matching | Spaced | Call with Kai |
|---|
No analytics yet
Send a link to your students to track their progress

Wzór adeniny
Rysuj.
[🤠]

Wzór guaniny
Rysuj.
[🤠]

Wzór cytozyny
Rysuj.
[🤠]

Wzór tyminy
Rysuj.
[🤠]

Wzór uracylu
Rysuj.
[🤠]
Zasady purynowe:
Adenina;
Guanina.
Mnemotechnika: PUre As Gold.
Wymień zasady purynowe.
[🤠]
Zasady pirymidynowe:
Cytozyna;
Uracyl;
Tymina.
Mnemotechnika: CUT the PIRamid.
Wymień zasady pirymidynowe.
[🤠]
Tautomeria to rodzaj izomerii konstytucyjnej, w której dwa izomery (zwane tautomerami) szybko przechodzą jeden w drugi, współistniejąc w stanie równowagi dynamicznej. Zmiana ta polega najczęściej na relokacji atomu wodoru (protonu) i związanej z tym zmianie położenia wiązań podwójnych.
W przypadku zasad purynowych i pirymidynowych, najważniejszą i najczęstszą formą jest tautomeria keto-enolowa oraz amino-imino.
Tautomeria amino-imino dotyczy adeniny i cytozyny.
Adenina (A): Występuje głównie w formie amino. Rzadka forma to imino.
Cytozyna (C): Występuje głównie w formie amino.
Czym jest tautomeria?
Opisz czym jest, na czym polega zmiana w strukturze, oraz jakie są jej najczęstsze formy w przypadku zasad azotowych, i których zasad dotyczą.
[🤠]
Tautomeria Amino-imino dotyczy zasad posiadających nieprotonowane atomy azoty (-N=), czyli Adeniny i Cytozyny. Formy tautomeryczne powstają przez przeniesienie protonu (H+) z grupy aminowej (-NH2) na nieprotonowany atom azotu (-N=).
Jakie zasady azotowe ulegają tautomerii Amino-imino?
Opisz regułę dotyczącą powstawania form tautomerycznych, oraz wymień konkretne zasady azotowe.
[🤠]
Tautomeria Keto-enol dotyczy zasad posiadających grupę karbonylową (=O), czyli Guaniny, Cytozyny, Uracylu i Tyminy. Formy tautomeryczne powstają przez przeniesienie protonu (H+) z grupy -NH na grupę karbonylową (=O).
Jakie zasady azotowe ulegają tautomerii Keto-enol?
Opisz regułę dotyczącą powstawania form tautomerycznych, oraz wymień konkretne zasady azotowe.
[🤠]

Tautomeria adeniny [1]
Rysuj.
[🤠]

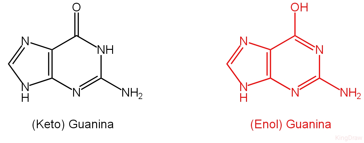
Tautomeria guaniny [1]
Rysuj.
[🤠]

Tautomeria cytozyny [2]
Rysuj.
[🤠]

Tautomeria uracylu [3]
Rysuj.
[🤠]

Tautomeria tyminy [3]
Rysuj.
[🤠]
Normalnie zasady łączą się zgodnie z Regułą Chargaffa - puryna z pirymidyną:
Adenina - Tymina/Uracyl
Guanina - Cytozyna
Odmiany tautomeryczne wiążą się wbrew Regule Chargaffa - również puryna z pirymidyną, lecz odmienna niż w przypadku zwykłych form.
(Imino) Adenina - Cytozyna
(Imino/Enol) Cytozyna - Adenina
(Monoenol/Monoenol/Dienol) Tymina/Uracyl - Guanina
(Enol) Guanina - Tymina/Uracyl
Opisz, z jakimi zasadami łączą się poszczególne tautomery.
Nukleozyd składa się z wybranej zasady azotowej, której atom azotu ulega deprotonacji, i łączy się z cząsteczką pięciowęglowego cukru - rybozy, lub deoksyrybozy.
Z czego ogólnie składa się nukleozyd?
[🤠]

Nukleozydy Adeniny
Podaj nazwy, narysuj obie formy.
[🤠]

Nukleozydy Guaniny
Podaj nazwy, narysuj obie formy.
[🤠]

Nukleozydy Cytozyny
Podaj nazwy, narysuj obie formy.
[🤠]

Nukleozydy Uracylu
Podaj nazwy, narysuj obie formy.
[🤠]

Nukleozydy Tyminy
Podaj nazwy, narysuj obie formy.
[🤠]
Nukleotyd składa się z nukleozydu - zasady azotowej połączonej z cząsteczką pięciowęglowego cukru: rybozy, lub deoksyrybozy - oraz z resztą lub resztami fosforanowymi.
Z czego ogólnie składa się nukleotyd?
[🤠]

Nukleotydy na bazie rybozy.
Napisz nazwę, nazwę skróconą, oraz narysuj wzór na podstawie adeniny.
[🤠]

Nukleotydy na bazie deoksyrybozy.
Napisz nazwę, nazwę skróconą, oraz narysuj wzór na podstawie adeniny.
[🤠]
🧬 Struktura Podwójnej Helisy
Model podwójnej helisy (Watson i Crick, 1953) opisuje DNA typu B (najczęstszy fizjologicznie):
Dwa antyrównoległe (jeden 5' → 3', drugi 3' → 5') łańcuchy deoksyrybonukleotydowe skręcone wokół wspólnej osi;
Szkieletem jest powtarzalna sekwencja cukier-fosforan (hydrofilowy, na zewnątrz);
Zasady azotowe (hydrofobowe) znajdują się wewnątrz helisy.
Opisz strukturę podwójnej helisy.
Opisz bieguny obu nici DNA oraz położenie przestrzenne elementów nukleotydu wobec obecności wody.
[🤠]
🔗 Wiązania Wodorowe i Reguły Chargaffa
Parowanie zasad (reguły Chargaffa):
Adenina (A) paruje się z Tyminą (T) za pomocą dwóch wiązań wodorowych;
Guanina (G) paruje się z Cytozyną (C) za pomocą trzech wiązań wodorowych;
W rezultacie, w cząsteczce DNA zawartość A jest równa zawartości T, a zawartość G jest równa zawartości C.
Opisz sposób łączenia zasad azotowych.
Nazwij regułę łączenia zasad, opisz które zasady łączą się ze sobą oraz iloma wiązaniami;
[🤠]
🔗 Wiązania Wodorowe i Reguły Chargaffa
Zależności dotyczące zawartości zasad:
Stosunek sumy zasad purynowych do pirymidynowych jest równy 1: (A+G)/(T+C)=1;
Wyższa zawartość par G-C (z trzema wiązaniami H) oznacza większą stabilność termiczną DNA, ponieważ wymaga więcej energii do rozdzielenia łańcuchów (denaturacja).
Opisz sposób łączenia zasad azotowych.
Określ stosunek ilościowy puryn do pirymidyn oraz które pary stabilizują nić DNA, i w jaki sposób.
[🤠]
🔗 Wiązania Wodorowe i Reguły Chargaffa
Wiązania Kowalencyjne: Wiązania fosfodiestrowe łączą C-3’ cukru jednego nukleotydu z C-5’ cukru kolejnego nukleotydu, tworząc łańcuch.
Opisz sposób łączenia zasad azotowych.
Określ, w jaki sposób nukleotydy łączą się ze sobą.
[🤠]
RNA (kwas rybonukleinowy) jest zwykle jednoniciowy, zawiera rybozę (pięciowęglowy cukier z grupą -OH w pozycji 2') i zasadę Uracyl (U) zamiast Tyminy (T).
Opisz budowę RNA.
Zwróć uwagę na cukier i jego budowę, zasady azotowe oraz cechy budowy przestrzennej.
[🤠]
📜 Rodzaje RNA
❓ mRNA (Matrycowy/Informacyjny RNA):
Stanowi matrycę do syntezy białek (translacji).
Zawiera kodony (trójki nukleotydów) odpowiadające konkretnym aminokwasom.
Ma bardzo zróżnicowaną wielkość i krótki czas życia.
🚅 tRNA (Transportujący RNA):
Ma małą masę cząsteczkową, kształt koniczyny (stabilizowany wewnątrzłańcuchowymi wiązaniami wodorowymi) i L-kształtną strukturę przestrzenną.
Transportuje specyficzny aminokwas do rybosomu.
Zawiera antykodon (komplementarny do kodonu mRNA).
🔨 rRNA (Rybosomalny RNA):
Najliczniejszy rodzaj RNA.
Wchodzi w skład rybosomów (maszyn do syntezy białek), pełniąc funkcję strukturalną i katalityczną (jako rybozym).
Inne: np. ☢ snRNA (mały jądrowy), 🔬 miRNA (mikroRNA), ❗ siRNA (mały interferujący) – biorą udział w obróbce 🗿 pre-mRNA (splicing) i regulacji ekspresji genów.
Wymień rodzaje RNA. [7]
Określ również rolę danego rodzaju RNA w funkcjonowaniu komórki.
[🤠]
💧 Hydroliza
Hydroliza rozkłada kwasy nukleinowe na ich składniki.
Całkowita Hydroliza (kwasowa): Rozrywa wszystkie wiązania, uwalniając zasady, cukry i fosforany.
Hydroliza Enzymatyczna: Używa się specyficznych enzymów:
Nukleazy (Deoksyrybonukleazy – DNazy; Rybonukleazy – RNazy): Rozkładają wiązania fosfodiestrowe w szkielecie.
Egzokleazy: Tną na końcach łańcucha.
Endonukleazy: Tną wewnątrz łańcucha.
Fosfodiesterazy: Klasa nukleaz.
Nukleotydazy: Rozkładają nukleotydy do nukleozydów i fosforanu (usuwają resztę fosforanową).
Opisz proces hydrolizy.
Opisz na czym polega, jakie są jej rodzaje, jakie czynniki są używane w jej przebiegu oraz co powodują.
[🤠]

Wykrywany czynnik: Deoksyryboza (DNA).
Substraty:
Ekstrakt z DNA;
H2SO4(stęż.);
Difenylamina.
Kwas siarkowy powoduje hydrolizę kwasową, a następnie przez odwodnienie przekształca deoksyrybozę w aldehyd Ω-hydroksylewulinowy, który kondensuje z difenylaminą, tworząc barwny kompleks.
Obserwacje: Zabarwienie niebieskie.
Reakcja Dische’a.
Opisz co wykrywa, jakie są jej substraty, jaki jest jej mechanizm, narysuj schemat oraz opisz obserwacje.
[🤠]

Wykrywany czynnik: Pentoza.
Substraty:
Ekstrakt z RNA;
HCl(stęż.);
5-metylobenzeno-1,3-diol (oracynol);
FeCl3.
Kwas chlorowodorowy powoduje hydrolizę kwasową, a następnie przez odwodnienie przekształca rybozę w furfural. Furfural wraz z oracynolem w obecności jonów Fe3+ tworzy barwny kompleks.
Obserwacje: Zielone zabarwienie.
Reakcja Biala.
Opisz co wykrywa, jakie są jej substraty, jaki jest jej mechanizm, narysuj schemat oraz opisz obserwacje.
[🤠]

Wykrywany czynnik: Puryny
Substraty:
Ekstrakt z puryny;
Kwas azotowy (V) HNO3;
Amoniak NH3;
Mechanizm: Pod wpływem HNO3 puryny przekształcają się w kwas dialurowy i alloksan. Związki te następnie kondensują w alloksatynę, a potem dwukrotnie reagują z amoniakiem: najpierw z wydzieleniem cząsteczki H2O dają kwas purpurowy, a następnie mureksyd.
Obserwacje: Powstaje związek o czerwonej barwie.
Dodatkowo zasady azotowe reagują z jonami metali. Zasady purynowe krystalizują w środowisku kwasowym, a pirymidynowe w środowisku zasadowym.
Reakcja Mureksydowa
[REAKCJA ZE SKRYPTU]
Opisz co wykrywa, jakie są jej substraty, jaki jest jej mechanizm, narysuj schemat oraz opisz obserwacje. Opisz dodatkową metodę odróżniania puryn od pirymidyn oraz warunki tych reakcji.
[🤠]

Substraty:
Jony ortofosforowe PO43-;
Molbidenian amonu (NH4)2MoO4.
Obserwacje: Pojawia się żółty osad.
Wykrywanie kwasu ortofosforowego
[REAKCJA ZE SKRYPTU]
Opisz jakie są jej substraty, narysuj schemat oraz opisz obserwacje.
[🤠]
🧬🌍 Kwasy nukleinowe (NA) są obok białek podstawowymi składnikami komórek zwierzęcych, roślinnych i drobnoustrojów.
Biorą udział w podstawowych procesach biologicznych (np. podział komórki, przekazywanie informacji genetycznej).
🧬❓ Jaka jest rola i znaczenie kwasów nukleinowych w komórce? [2]
Określ ich ogólne funkcje.
[🤖]
🔗🔬 Kwasy nukleinowe są polimerami związków zwanych nukleotydami, które można rozszczepić na kwas ortofosforowy i nukleozydy.
Nukleozydy rozszczepiają się na pentozę i zasadę azotową.
🔗❓ Jaka jest podstawowa budowa kwasów nukleinowych?
Opisz hierarchię rozkładu na mniejsze składniki.
[🤖]
🔄🦴 Wyróżnia się dwa rodzaje kwasów nukleinowych:
🫧 RNA (rybonukleinowe) – zawierają rybozę;
🧬 DNA (dezoksyrybonukleinowe) – zawierają 2-dezoksyrybozę.
🔄❓ Jakie są dwa rodzaje kwasów nukleinowych i czym się różnią?
Podaj główny składnik różnicujący [2].
[🤖]
🔠🧪 Zasady purynowe to:
⛓ Adenina (A);
⛓ Guanina (G);
Zasady pirymidynowe to:
🛑 Cytozyna (C);
🛑 Uracyl (U);
🛑 Tymina (T).
🔠❓ Wymień zasady purynowe i pirymidynowe występujące w kwasach nukleinowych. [5]
[🤖]
🌉💧 Nukleotydy są połączone ze sobą wiążaniami diesterowymi w długie, liniowe polimery;
🍬💥 Łańcuch polinukleotydowy stanowią cząsteczki pentozy i kwasu fosforowego, tworząc szkielet zewnętrzny;
🌱Zasady azotowe pozostają na zewnątrz łańcucha.
🌉❓ Jak są połączone nukleotydy w łańcuchu polinukleotydowym?
Opisz budowę szkieletu i położenie zasad. [3]
[🤖]
⚖🔗 W skład DNA wchodzą zasady A, G, C i T.
Obowiązują następujące zależności:
🟰 Zawartość puryn (A+G) jest równa sumie pirymidyn (C+T);
🟰 Ilość A jest równa ilości T, a ilość G jest równa ilości C;
🟰 Całkowita suma zasad z grupą 6-aminową jest równa sumie zasad z grupą 6-oksonową.
⚖❓ Jakie zależności ilościowe obowiązują w składzie DNA? [3]
Podaj zasady Chargaffa (w uproszczeniu).
[🤖]
🪢💧 W DNA cząsteczki pentozy i kwasu fosforowego tworzą dwie podwójne łańcuchy polinukleotydowe zwinięte w regularną spiralę.
〰 Łańcuchy są ze sobą zespolone mostkami wodorowymi łączącymi zasady jednego łańcucha z zasadami drugiego;
🥈 A-T łączy się dwoma mostkami wodorowymi;
🥉 G-C łączy się trzema mostkami wodorowymi.
🪢❓ Jak jest zbudowana cząsteczka DNA?
Opisz strukturę i wiązania między zasadami [3].
[🤖]
🌡❌ Hydroliza kwasów nukleinowych polega na:
⛓💥 Rozszczepieniu wiązań diesterowych (np. hydroliza całkowita w środowisku zasadowym daje głównie 2'- i 3'-monofosforanukleozydy);
⛓💥 Rozszczepieniu wiązań glikozydowych w wyniku dalszej hydrolizy lub podwyższonej temperatury.
🌡❓ Jakie wiązania ulegają rozszczepieniu podczas hydrolizy kwasów nukleinowych? [2]
Wymień rodzaje wiązań i warunki hydrolizy.
[🤖]
🧪🧫 Wykrywanie kwasu ortofosforowego polega na reakcji z molibdenianem amonu, w której tworzy się niebieski sole fosfomolibdenianu amonu.
🔍🌱 Wykrywanie zasad azotowych (puryn) polega na utworzeniu w roztworze amoniaku osadu soli srebrowych puryn.
🧪❓ Wymień metody wykrywania kwasu ortofosforowego i zasad azotowych (puryn). [2]
[🤖]
🔴🟠 Wykrywanie cukrów (pentoz):
❤ Reakcja Molisha: Czerwone zabarwienie z α-naftolem po dodaniu H2SO4.
💚 Reakcja orcynolowa (dla rybozy): Powstanie zielonego kompleksu.
💙 Reakcja Biala (dla 2-dezoksyrybozy): W odróżnieniu od rybozy, tworzy niebieski kompleks barwny.
🔴❓ Wymień i opisz metody wykrywania cukrów wchodzących w skład kwasów nukleinowych. [3]
[🤖]
📏📉 Ilościowe oznaczanie DNA lub RNA wykonuje się metodą kolorymetryczną.
❓⚗ Obliczenie stężenia w próbce badanej (Cpróby badanej) jest proporcjonalne do odczytanej absorbancji (Apróby badanej) w stosunku do absorbańcji wzorca (Awzorca).
📏❓ Jaką metodą wykonuje się ilościowe oznaczanie kwasów nukleinowych i na czym ona polega? [2]
[🤖]

Narysuj fragment nici DNA.
[🤠]